对非ST段抬高型急性冠状动脉综合征(NSTEACS)患者 , 有创性冠脉造影(ICA)能评估冠脉狭窄的严重程度 , 此外还可能预测患者的临床预后 。
冠脉CT血管造影(CTA)在评估NSTEACS患者风险方面 , 是否跟ICA一样有效 , 目前还没有定论 。
近期 , JACC杂志发表的一项随机对照研究的随访数据分析对这一问题进行了评价 , 一起来看看吧 。
研究背景
对非ST段抬高型急性冠状动脉综合征(NSTEACS)患者 , 当前指南建议:在最佳药物治疗的基础上 , 个体化评估患者接受侵入性冠脉检查和可能的血管重建的风险和获益 。
NSTEACS患者的冠脉病变严重程度不一 , 有可能血管结构正常 , 也有可能存在不同程度的非阻塞性冠脉病变 , 最严重情况为冠脉多支弥漫性病变 。
对临床确诊的NSTEACS患者 , 目前选择最佳治疗路径的主要诊断方法是有创冠脉造影(ICA) 。
根据冠脉造影结果评估患者是否存在阻塞性病变、以及冠脉狭窄程度 , 一般认为是评估患者接受冠脉血运重建风险与获益的重要参考 , 这些信息还能用于评估NSTEACS患者的总体长期预后 。
然而 , 所有NSTEACS患者都常规接受侵入性冠脉造影检查 , 可能与出血风险增加相关 , 还可能与住院时间延长相关 , 并不能为所有NSTEACS患者提供长期获益 。
冠脉血管造影(CTA)已发展成为一种相对简单、准确、低风险的无创检查 , 目前临床应用主要在排除冠心病诊断方面 。 CTA在评估NSTEACS患者风险方面 , 是否跟ICA一样有效 , 目前还没有定论 。
研究设计
VERDICT研究(随机对照研究):纳入了丹麦哥本哈根的9家医院的NSTEACS患者 , 随机分为急诊介入治疗组(12小时内)或延迟介入治疗组(48至72小时内) 。 治疗策略定义为最佳药物治疗或最佳药物治疗+冠脉血运重建 。
本次JACC杂志发表的文章中 , 研究者分析了VERDICT研究(随机对照研究)的随访数据 , 评估了该研究纳入的NSTEACS患者治疗时机与预后的关系 , 所有患者在冠脉造影前接受了冠脉CTA评估(CTA结果采用临床盲法评价) 。
根据冠脉狭窄程度 , 患者分为阻塞性组(冠脉狭窄≥50%)或非阻塞性组 。
根据冠心病的严重程度 , 患者分为高风险组(阻塞性左主干病变或左前降支近端狭窄和/或多支病变)或非高风险组 。
研究主要终点是全因死亡、非致死性反复发作心肌梗死、因难治性心肌缺血住院、心力衰竭组成的复合终点 。
文章插图
【冠脉|进展|冠脉CTA能否替代冠脉造影,用于评估NSTE-ACS患者预后?】图1根据冠脉狭窄程度(阻塞性vs非阻塞性)分组患者的临床特征和预后
文章插图
图2根据冠心病的严重程度(高风险组vs非高风险组)分组患者的临床特征和预后
研究结果
978例患者接收冠脉CTA和冠脉造影检查 。 中位随访4.2年 , 208名患者发生主要终点事件(21.3%) 。
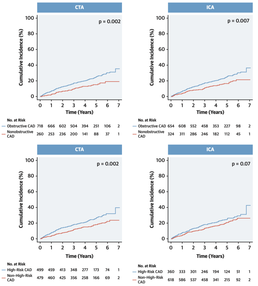
与冠脉CTA或ICA确诊的非梗阻性CAD患者相比 , 梗阻性CAD患者的主要终点发生率高出1.7倍 。 (冠脉CTA确诊的梗阻性CAD患者的风险比[HR] 1.74 , 95%可信区间[CI] 1.22-2.49 , p=0.002;ICA确诊的梗阻性CAD患者的HR 1.54 , 95%CI 1.13-2.11;p=0.007)
与冠脉CTA诊断的非高危冠心病患者相比 , 冠脉CTA诊断的高危冠心病患者的主要终点发生率高出1.5倍(HR 1.56 , 95%CI:1.18-2.07;p=0.002) 。
ICA诊断的高危冠心病患者也有类似的趋势(HR 1.28 , 95%CI:0.98-1.69;p=0.07) 。
文章插图
图3复合主要终点事件的时间-事件曲线(Time-to-Event Curves)
研究结论
在评估NSTEACS患者的长期风险方面 , 冠脉CTA与ICA效果相当 。
冠脉CTA或可替代冠脉造影 , 用于评估NSTEACS患者的风险 , 并确定那些可以放弃有创性血管造影检查的非阻塞性冠脉病变的NSTEACS患者 。
下一步 , 需要继续开展随机对照研究以下关键问题 , 即根据CTA结果分类的NSTEACS患者类型中 , 哪些接受血管重建可以改善患者临床预后 。
来源
Prognostic Value of Coronary CT Angiography in Patients With Non–ST-Segment Elevation Acute Coronary Syndromes. J Am Coll Cardiol 2021;77:1044–52
推荐阅读
- 细胞|“首个人类胚胎完整模型”!两篇《自然》报道重大进展
- 系统性红斑狼疮|盘点:系统性红斑狼疮治疗药物研发进展
- 妊娠期高血压|进展|女性妊娠期出现血压异常,会不会影响远期寿命?
- 大肠癌|帕姆单抗使具有特定DNA突变的晚期大肠癌患者的疾病进展时间加倍
- 绝缘|掺杂Mott绝缘体的电子结构演变研究获进展
- ebmt|2021 EBMT大会研究进展精选,这些数据你了解吗?
- 哈尔滨工业大学|2020“中国高等学校十大科技进展”揭晓!
- 古脊椎所|古脊椎所两项科研成果领衔入选“2020年度中国古生物学十大进展”
- 蔬菜|今年冬春蔬菜和夏秋蔬菜腾茬进展顺利 种植面积保持稳定
- 股骨头|股骨头坏死的病情进展及治疗原则
