形状记忆合金|广工大&哈工大:迄今最大恢复应变!一种新型高温形状记忆合金
导读:本研究开发了一种新型形状记忆合金 , 分析了合金的微观结构、相变和形状记忆效应 。 在马氏体相变和逆马氏体相变期间表现出优异的热稳定性 , 预应变为6%和8%时 , 最大恢复应变为5.33%和6.87% 。 该合金具有迄今为止最大恢复应变 , 是应用前景广阔的高温形状记忆合金 。
形状记忆合金(SMA)由于其独特的特性(例如形状记忆效果和超弹性)而成为重要的功能材料 , 服役环境多为100℃以下 。 随着SMA的不断发展 , 对具有较高转变温度(超过100℃)的SMA的需求正在增加 , 这被定义为高温形状记忆合金(HTSMA) 。 尽管在过去的十年中进行了广泛而持续的科学努力 , 但由于高温金属SMAs的原材料价格昂贵 , 热稳定性差且恢复应变低 , 因此尚未在商业市场中得到充分应用 。 因此 , 设计新型高温形状记忆合金 , 例如基于ZrCu的高温形状记忆合金引起了研究人员越来越多的兴趣 。
来自广东工业大学、哈工大等单位的研究人员设计了Zr50Cu25Ni7.5Co17.5高温形状记忆合金 , 具有出色的热稳定性 , 获得了最佳6.87%(最大8%预应变)的最大恢复应变 , 分析了该合金的变形机理 。 相关论文以题为“Zr50Cu25Ni7.5Co17.5high-temperatureshape memory alloy with excellent thermal stability and large recovery strain,and the associated microstructural deformation mechanism”发表在Materials and Design 。
论文链接:
https://doi.org/10.1016/j.matdes.2020.109108
本文图片
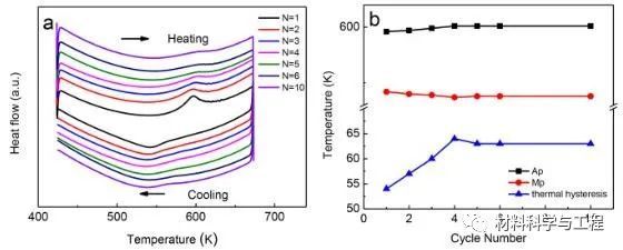
本合金在Ar的环境下采用电弧熔炼制备 , 通过XRD和SEM表明 , 合金只存在马氏体 。 发现合金经过4个热循环后 , 逆马氏体相变峰值温度(Ap)和马氏体相变的峰值温度(Mp)基本保持不变 , Ap增加3K , Mp减少3K , 这可能是由于热循环过程中的位错导致 。 Zr50Cu25Ni7.5Co17.5合金中马氏体相变的热稳定性明显优于Zr50Cu50合金 。 由于Zr50Cu50合金的共析反应导致热稳定性降低 , Zr50Cu25Ni7.5Co17.5合金中的Ni和Co能够抑制热循环期间的共析反应 , 进而提高热稳定性 。
本文图片
图1 (a)自协作性晶体的形态;(b)晶体中的子结构;(c)M和T的对应选择区域衍射图;(d)M对应的选择区域衍射图;(e)未变形的Zr50Cu25Ni7.5Co17.5合金中面缺陷的明场像
本文图片
图2(a)HREM和(b)沿[100]方向的B型平面缺陷的对应IFFT图像
本文图片
图3(a)不同热循环次数的DSC曲线;(b)热循环次数对Zr50Cu25Ni7.5Co17.5合金的相变温度的影响
研究发现Zr50Cu25Ni7.5Co17.5合金的压缩应力-应变曲线与典型的TiNi SMA拉伸/压缩行为相反 。 Zr50Cu25Ni7.5Co17.5合金的形状记忆效应比Zr50Cu50合金好很多 。 在变形初始阶段马氏体表现出自协作形态 , 少量(001)复合孪晶开始解缠 , 变形应变可完全恢复;压缩应变4%时 , 纳米级(021)和(111)I型形变孪晶开始形成 , 沿(021)孪晶边界同时出现堆积断层;在8%的形变应变下 , 形成越来越多的纳米级(021)和(111)I型形变孪晶 , 同时(111)I型孪晶的界面变得弯曲 。 新的变形机制使马氏体在变形过程中具有可逆性 , 从而在Zr50Cu25Ni7.5Co17.5合金中产生了更好的形状记忆效果 。
本文图片
图4 不同预应变的Zr50Cu25Ni7.5Co17.5合金的压缩应力-应变曲线及加热过程中的恢复行为
本文图片
图5(a , b)变形为2%Zr50Cu25Ni7.5Co17.5合金中马氏体的明场TEM图像和所选区域的衍射图;(c)相互缠绕的(001)孪晶的明场TEM图像;(d)相应的选定区域衍射图
本文图片
图6(a , b , c , d)变形为8%Zr50Cu25Ni7.5Co17.5合金中马氏体的明场TEM图像和区域A B的衍射图
(文:破风)
【形状记忆合金|广工大&哈工大:迄今最大恢复应变!一种新型高温形状记忆合金】本文来自微信公众号“材料科学与工程” 。 欢迎转载请联系 , 未经许可谢绝转载至其他网站 。
推荐阅读
- 宇宙|宇宙的形状是什么样?科学家称宇宙有三种形状,了解最后一种至关重要
- 想到都要流口水的小炒菜,简单一做,就解馋下饭,常吃增强记忆力
- 曼德拉效应|你的记忆真的被篡改过?“曼德拉效应”到底有多可怕?
- 行星状星云|天文学家发现了行星状星云是如何形成迷人形状的?
- 甲状腺功能减退|工作失去兴趣、睡不醒、记忆力减退,当心是甲状腺的求救信号!
- 多给家人吃的开胃菜,香辣下饭,增强记忆力,孩子常吃个子蹭蹭长
- 纳尔逊·罗利赫拉赫拉·曼德拉|“曼德拉效应”越来越明显,人类的记忆,难道真被篡改了吗?
- 脑出血|理解是最好的记忆——细说脑出血核磁信号演变
- 你记忆中妈妈的味道,是一道什么美食
- 麦康诺|“吃掉你,我就继承你的记忆”?记忆转移实验是造假还是奇迹?
