富含多酚的石榴汁或许可以有效保护胎儿的大脑免受IUGR的伤害 。
胎儿宫内生长受限(Intrauterine growth restriction , IUGR)是孕妇及其胎儿常见的一类健康问题 , 但对于确诊的孕妇而言 , 目前很少有有效的治疗选择 。 根据最近的一项研究 , 孕妇日常摄入石榴汁或许能够有效降低胎儿患IUGR的风险 。
文章插图
图片来源:摄图网
什么是IUGR?
IUGR指的是由于胎盘异常 , 氧气和营养物质向胚胎的输送受到阻碍 , 最终导致胎儿相对其胎龄偏小 。 发育中的胎儿大脑特别容易受到IUGR的影响 。 当前临床实践中 , 每10名婴儿中就有1名被诊断出患有IUGR , 患有IUGR的婴儿死亡和神经发育受损的风险均明显增高 。
石榴汁可以治疗IUGR?
根据最近一项发表在《Scientific Reports》杂志上的研究结果 , 富含多酚的石榴汁或许可以有效保护胎儿的大脑免受IUGR的伤害 。
文章插图
在一项探索性 , 随机对照的临床试验中 , 来自Brigham and Women's Hospital的研究人员招募了多名被诊断出婴儿IUGR症状的孕妇参与研究 。 证据表明 , 孕妇每天喝石榴汁可以降低IUGR婴儿的脑部受伤风险 , 在妊娠晚期该结果的改善更为明显 。
研究内容
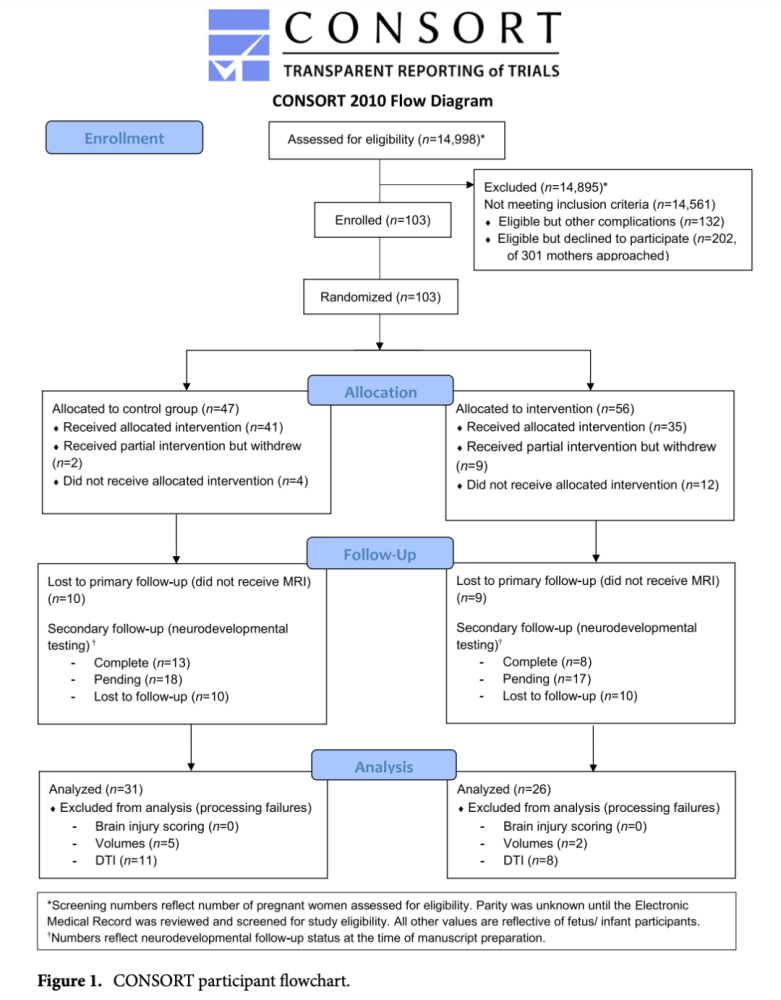
具体而言 , 该研究共招募了99名孕妇(103名IUGR胎儿) , 并随机分配接受治疗(石榴汁 , n = 56)或安慰剂(n = 47) 。 随机分配到安慰剂的患者中有六名(12.8%)从研究中退出 。 在接受分配的安慰剂组的41名胎儿中 , 有31名(66%)接受了脑部MRI检查 。 在治疗组的胎儿中有21例(37.5%)中间退出 。 在接受分配的治疗组的35名胎儿中 , 有26例(74.3%)接受了脑部MRI检查 。
文章插图
通过分析最初的样本数据 , 参与研究的孕妇以及患病胎儿的体重以及IUGR的增长百分比均没有明显差异 。 在经历治疗后 , 对照组的母亲BMI明显高于治疗组 。 同样周龄的情况下治疗组胎儿的体型增长明显高于对照组 , 表明其发育的更加健康 。 此外 , 研究结果表明治疗组孕妇分娩时的胎儿周龄明显高于对照组 (37 weeks VS 35 weeks) , 表明其早产的风险有所降低 。
通过对胎儿的大脑进行MRI扫描分析 , 发现治疗组胎儿的脑部损伤风险明显低于对照组 , (mITT 57.7% VS 83.9%; PP 47.1% VS 100%) , 总体风险降低约30%-50% 。
文章插图
【石榴|惊呆了!石榴不光能护肤,还对胎儿大脑有好处!】研究组的脑损伤风险按意向治疗(mITT)和按方案(PP)分析
研究结论与意义
针对上述结果 , 文章作者Terrie Inder教授说:“有些饮食因素可能会影响神经保护效果 , 在分娩这一高危事件中尤其重要 。 临床目前的研究发现表明在石榴汁中发现高浓度的多酚可能具有高度保护性 。 对此 , 我们的临床试验提供了迄今为止最有希望的证据 , 表明多酚可以预防婴儿因IUGR引起的脑损伤的风险 。 ”
多酚是某些食品和饮料(包括杏仁 , 浆果 , 红酒和茶)中发现的一类抗氧化剂 。 石榴汁则是多酚的丰富来源 。 已知多酚可以穿越血脑屏障 , 并且在动物模型中的研究表明 , 它对神经退行性疾病具有保护作用 。
但是考虑到这项研究的探索性和其有限的规模 , 作者警告说 , 需要更大的对照试验 。 研究小组还计划在未来2-3年内继续研究参与试验的婴儿 , 以评估婴儿的神经发育结果 。
尽管研究已经发现石榴汁对于胎儿脑损伤有益 , 但是对于孕妇来说 , 过多的糖份摄入会引发妊娠糖尿病 , 所以石榴虽好 , 也要适度 。 同时作为孕妇 , 需要注意其他水果的摄入及均衡营养 。
参考资料:
推荐阅读
- 喝酒|长期喝酒者,早起后,若有这5个表现,你得考虑戒酒保肝了!
- 浪胃仙|泡泡龙的离世给所有吃播提了醒,浪胃仙顺势决定“转行”,新职业认真的吗?
- 从小就馋此口,比肉香多了,几块钱做一大盘,咋吃都不腻
- 别再买坚果零食吃了,自己在家就能做,酥脆香甜,没有一点苦涩味!
- 这早餐我从3岁开始吃,三十多年了,从没吃腻过,晶莹剔透很好吃
- 剩米饭别再炒了,试试这样做,比蛋炒饭好吃一百倍
- 春天来了教你几道好吃不油腻的家常菜,美味简单下饭,百吃不厌!
- 天冷了,怎能不吃此菜?十分钟就上桌,香辣可口还美味,贼香
- 虾别再煮着吃了,我换种做法外酥里嫩,老公一口气干掉一盘,佩服
- 糖尿病|这根血管堵了,离死亡最近!三个预警信号,糖尿病患者尤其要注意!
