版权声明:本文首发自瘦龙健康 , 中国肥胖问题的死磕侠 , 我已委托“维权骑士”为我的文章进行维权行动 。
免责声明:以下的文字 , 不做任何医疗建议 , 只做信息分享 , 请在专业人员的指导下进行 。
请随意转发到朋友圈 , 如需转载请联系后台 。
本文编辑字数3872字 , 预计阅读时间 , 11分钟 。
==========================
你有没有发现 , 身边老年痴呆患者越来越多 。
据不完全统计 , 全球阿尔兹海默症(老年痴呆)患者5000万人 , 每年增加1000万人 , 在中国 , 有上千万老人患有阿尔兹海默症 , 这个数据妥妥的全球第一 。
文章插图
预计到2030年将达到7500万人 , 到2050年将达到1.35亿 。
照这么下去 , 大部分中国老年人 , 都逃不开老年痴呆的魔咒 。
文章插图
(都挺好 , 苏大强 剧照)
老年痴呆这个世界难题 , 可能很难解决了 , 目前还没有什么神药可以治疗 。
就连药品公司也要放弃了 , 2020年 , 国际医药巨头竟然放弃了痴呆药物研发 , 可能还没有找对方向 。
文章插图
但是 , 有些人却在没有用药的情况下 , 老年痴呆自动好了 , 我们之前分享过案例:8年老年痴呆 , 37天就恢复了 。
为什么不吃药 , 改变饮食 , 就可以改善老年痴呆呢?今天给大家看这个最新的研究成果 。
生酮饮食 , 治疗阿尔兹海默症
生酮饮食 , 是减少碳水(主食和糖) , 增加脂肪摄入量 , 身体开始燃烧脂肪 , 产生酮体的一种饮食方式 。
文章插图
阿尔茨海默症 , 也被称为是3型糖尿病 , 因为炎症和胰岛素抵抗 , 大脑不能很好地利用糖供能了 。
酮体作为一种大脑神经元的替补能源 , 可以补偿大脑的胰岛素抵抗和葡萄糖代谢不足 , 减轻脑能量代谢受损 , 达到改善认知的作用 。
2021年最新的研究 , 也是第一个生酮饮食在阿尔兹海默症中的随机交叉试验研究 。
文章插图
这项随机交叉试验的研究对象的年龄在50-90岁之间 。
符合痴呆严重度等级量表评分>19 , 体重指数>18.5 , 中度或重度抑郁(老年抑郁量表评分>8) , 严重脑血管疾病(Hachinski缺血量表评分>4) 。
患者还接受了最近(一年内)的血液检查(细胞计数、电解质、肌酐、肝功能、促甲状腺激素、B12) , 并参加了1小时的饮食指导 , 学会使用血糖仪和血酮仪 。
试验将26例患者随机分组 , 进行2种不同饮食:
生酮饮食:58%的脂肪(26%的饱和脂肪 , 32%的脂肪)、29%的蛋白质、7%的纤维和6%的净碳水 , 主要吃绿色蔬菜、肉、蛋、坚果、种子、奶油和天然油 。
“常规”低脂饮食:11%的脂肪(饱和度为3%、非饱和度为8%)、19%的蛋白质、8%的纤维、62%的净碳水 , 主要吃绿色的根类蔬菜、肉类、豆类、全谷类和水果 。
这2种饮食的患者都服用了每日多种维生素 , 最后 , 只有21例患者完成了生酮饮食 。
平均每周血糖和血酮水平
可以看到 , 血糖的12周平均值有所不同(生酮饮食为5.86±0.75 mmol / L , 常规饮食为6.86±1.51 mmol / L) 。
血酮的平均值也不同(生酮饮食为0.95±0.34 mmol / L , 常规饮食为0.20±0.06 mmol / L) , 在完成生酮饮食的21名患者中 , 有18名患者在营养性生酮状态 。
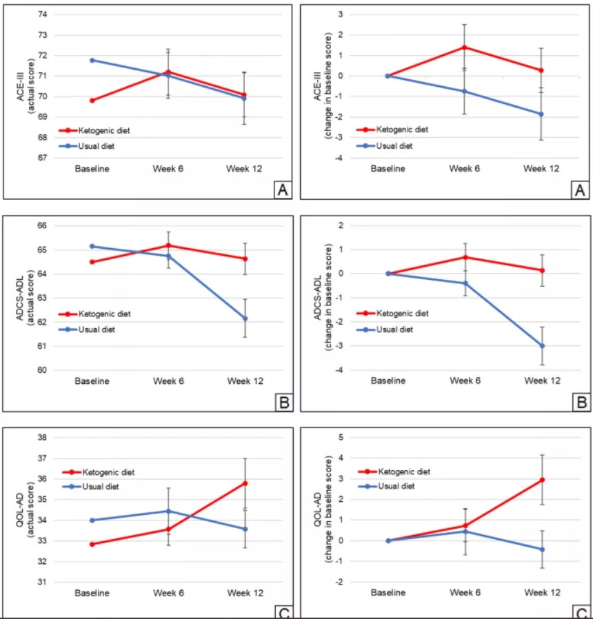
根据日常生活活动(ADCS-ADL)评估23项(得分范围从0-78 , 数字越高表示日常功能越好) , AD生活质量(QOL-AD)问卷评估13个项目(分数范围从13-52 , 数字越高表示生活质量越好) 。
文章插图
最后结果显示 , 与常规饮食相比 , 采用生酮饮食的患者的平均日常能力(ADCS-ADL)评分(+ 3.13±5.01点)和生活质量(QOL-AD)评分(+ 3.37±6.86点) , 认知能力(ACE-III)也有所增加(+ 2.12±8.70点) 。
文章插图
上图:分别是A认知能力(ACE-III) , B日常能力(ADCS-ADL) , 和?生活质量(QOL-AD)的分数 , 生酮饮食的患者都有了明显改善
而且 , 在第2个治疗期的第12周评估中 , 有13名(50%)患者和14名(54%)试验对象表示 , 他们打算在试验后继续进行生酮饮食 。
生酮饮食者不易怒
很多人说 , 不吃糖就会情绪不稳定 , 易怒 , 实际上这是一开始糖脂供能切换过程中 , 引发的短期现象 , 长期的生酮饮食会让你情绪稳定 。
对于情绪不稳定的老年痴呆患者 , 这一次又有了新的数据支撑 。
【阿尔茨海默病|最新发现:老年痴呆可能有救了|生酮饮食,治疗阿尔兹海默症】从下面的表可以看出 , 2种饮食中最常见的不良反应是易怒 , 生酮饮食的患者在第6周遭受的不良反应是第12周的2倍 。
文章插图
也就是说 , 随着时间的推进 , 进行生酮饮食的患者情绪在慢慢变好 。
除了易怒之外 , 像烦躁不安、疲劳加剧、对糖的渴望、失眠、肌肉痉挛、便秘、头晕等等情况 , 进行生酮饮食后的患者 , 这些情况都大大减少 。
当然 , 这项试验的样本量较小 , 持续时间较短 , 我们期待更大规模 , 更长时间的研究 。
不过生酮饮食有望成为阿尔兹海默症中可行且有效的治疗策略 , 这是一个好的开端 。
之前的研究 , 低碳高脂组改善认知能力最明显
2012年 , 美国Robert Krikorian博士领导的研究人员 , 找了23名患有轻度认知功能障碍(MCI)的老年人 , 随机分配到2组 , 进行了6周 。
文章插图
第一组:极低碳水化合物生酮饮食;
第二组:高碳低脂饮食;
结果发现 , 进行生酮饮食的人体重减轻了 , 空腹血糖和胰岛素水平也得到了改善 。
最重要的是 , 低碳生酮组的记忆力测试表现得到明显改善 , 其中血酮水平最高的人的改善最大 。
文章插图
作者得出的结论是 , 即使短期使用低碳水化合物饮食也可以改善患有老年痴呆的老年人的记忆功能 。
生酮+MCT油 , 治疗效果更好
之前有一个朋友给我分享过 , 家里的老人老年痴呆 , 但是不愿意改变饮食 , 它只是给他增加了椰子油 , 就有不错的效果 。
如果生酮饮食 , 再加上MCT油 , 效果可能更好 , 因为MCT油 , 可以直接代谢产生酮体 。
3个月生酮 , 认知提升 , 恢复饮食 , 认知减退
2017年 , 为了评估生酮饮食对老年痴呆的影响 , 研究者招募了7个CDR(临床痴呆评分)0.5 , 4个CDR1 , 4个CDR2老年痴呆患者参与者 。
文章插图
其中 , 有10个参与者坚持生酮饮食3个月 , 脂肪主要来源是中链脂肪酸(MCT) 。
在10个完成者中 , 阿尔茨海默病评估量表 , 认知量表评分的平均值在生酮饮食期间提高了4.1分 , 但是 , 一旦恢复正常饮食后(高碳水) , 认知水平就开始减退 。
生酮饮食+MCT油可以改善记忆力 , 行为能力
我们之前的分享的案例 , 一名53岁的男子Steve Newport患上了早发性阿尔茨海默症 。
于是他的妻子新生儿医学医师玛丽·纽波特(Mary Newport)尝试让他进行生酮饮食 , 同时摄入椰子油 。
没想到 , 效果出奇的好 , 短短37天内 , 他的行为和认知就开始出现质的飞跃 。
文章插图
上图:Steve Newport从开始摄入椰子油 , 到第37天 , 画出钟表的完整度有明显进步
同样的 , 在一项研究中 , 给60位早发性阿尔茨海默症患者的饮食中加入中链脂肪酸 。
结果显示 , 有90%的患者在多个方面 , 包括记忆力、认知、社交互动、言语、活动能力、睡眠、食欲和视力得到有效改善 。
还有一项研究 , 受试者为20名轻度至中度的日本患者(11名男性 , 9名女性 , 平均年龄73.4±6.0岁) 。
研究人员让患者每天服用生酮配方食品(20克含20克MCT油的生酮配方或50克不含MCT的等热量安慰剂配方) , 长达12周 , 然后每月进行一次神经认知测试 。
最后 , 有20名患者中有16名完成了为期12周的治疗 。
在试验开始后的第8周 , 患者的即时和延迟逻辑记忆力测试有了明显的改善 , 在第12周时 , 他们在数字符号编码测试和即时逻辑记忆测试中有了很大的提升 。
因此 , 研究人员建议:长期服用生酮配方食品会对阿尔兹海默症患者的言语记忆产生积极影响 。
文章插图
2018年 , 有研究者对17例轻度至中度阿尔茨海默症患者中进行了为期6个月的生酮补充剂(每日30克MCT)随机对照试验 。
研究人员称:“如果每天服用40-45克MCT , 效果会更好 。 ”
关键的瘦龙说
当我们大量吃高碳水食物时 , 身体会以葡萄糖作为燃料 。
当我们减少碳水 , 或者断食时 , 身体的葡萄糖燃料就会不够 , 这时候 , 聪明的身体会开始燃烧脂肪 , 产生酮体 , 可以给大脑供能 。
文章插图
酮体是比葡萄糖更清洁更高效的能量来源 , 酮体也被称为『超级燃料』 。
文章插图
从以葡萄糖供能 , 转化为以酮体供能 , 就好比给车子从烧柴油换成天然气这种清洁能源 , 可以使车子运转更加顺畅 , 高效 , 燃烧质量也更好 。
不得不感叹 , 人类的生存能力真是强大啊 。
如此强大的酮体有强大的神经保护特性 , 所以也被用于治疗癫痫已超过90多年 。
而阿尔兹海默症作为一种慢性神经衰退疾病 , 很难代谢葡萄糖 , 而一旦缺乏葡萄糖 , 就会导致脑细胞受损 , 破坏细胞间的通讯 , 当脑细胞无法正常交流时 , 认知就会受到损害 。
从解剖学上讲 , 海马体是负责学习和记忆的大脑区域 , 通常是第一个被破坏的细胞 , 因此 , 记忆力丧失是阿尔茨海默症最早的症状 。
那对于患上阿尔兹海默症的人 , 不能利用糖的话 , 那燃烧酮体可以吗?当然可以 。
有很多研究都发现 , 生酮饮食对阿尔兹海默症有明显改善效果 , 加入MCT油 , 效果会更好 。
而生酮饮食和MCT油的共同点都是:优质的油脂 。
文章插图
生酮饮食要求极少摄入碳水 , 大量摄入优质的油脂 , 这样就会让身体从烧葡萄糖转而烧脂肪(以酮体供能) 。
MCT油也是中链脂肪酸 , 它很容易代谢 , 并且会被直接输送到肝脏 , 这样可以增加体内的酮体 。
文章插图
最后给老年人一些忠告 , 不要觉得人必须吃米饭 , 面条 , 如果你想健康一点 , 适当少吃一点主食 , 多吃一点肉和菜 , 就可以大大减少痴呆的风险 。
如果你吃肉消化不了 , 就要想办法提高自己的消化能力 。
年轻的时候 , 不要吃多 , 暴食 , 不要长胖 , 少吃点碳水 , 也可以减少胰岛素的刺激 , 让自己的胰岛细胞能休息 , 多服务自己时间长一点 。
要不50岁就会血糖高 , 老年痴呆 , 到时候想挽救就比较难了 。
推荐阅读
- 阿尔茨海默病|阿尔茨海默症患者家属亲述:她五年没冲过厕所,每天和我们吵架
- 阿尔忒弥斯|阿尔忒弥斯,我们整装待发
- 阿尔茨海默病|阿尔茨海默病疗法开发即将迎来拐点?深度解读礼来在研抗体详细结果
- 阿尔茨海默病|JAD:锻炼能够优先缓解阿尔茨海默病患者的记忆丧失
- 阿尔伯特·爱因斯坦|根据爱因斯坦提出的广义相对论,未来的时空旅行在理论上是可行的
- 阿尔伯特·爱因斯坦|爱因斯坦的相对论启发了勋伯格的音乐吗?|赠书
- 阿尔茨海默病|老伴被老年痴呆症折磨16年,她决定……
- 滨海阿尔卑斯|法国确诊病例达356万 滨海阿尔卑斯省为发病率最高省份
- 阿尔茨海默症|哪类人群患阿尔茨海默症的概率较大?一文给您说清楚
- 阿尔茨海默病|“超级老人”是如何阻止阿尔茨海默病和心智衰退的
