一个号称过夜佩戴就能改善近视的“神器” 。
去年6月 , 国家卫生健康委员会发布了建国以来第一部意义非凡的《中国眼健康白皮书》 。 白皮书指出 , 2018年我国近视人数已经超过6亿人 , 其中儿童青少年近视率为53.6% , 大学生近视率更是超过90% 。 随着生活方式和环境的改变 , 近视率仍不断上升 。 进入21世纪来 , 对抗近视已经成为一场无声的持久战 。
那么提到近视治疗 , 你首先想到什么方法?是通过佩戴眼镜、常规隐形眼镜 , 还是进行LASIK或PRK手术矫正?
其实 , 还有角膜塑形术(orthokeratology)也可以 。 它又称为ortho-k , 就是中国常称的OK镜 。 源于美国 , 被誉为“睡觉就能控制和矫治近视的技术” 。 根据美国眼科学会(American Academy of Ophthalmology)的解释 , 是指过夜佩戴使用经过特殊设计和装配的隐形眼镜来暂时重塑角膜以改善视力 。
OK镜的作用原理是夜间睡眠时借助于眼睑的压力作用 , 使角膜变平 , 从而降低角膜曲率 , 降低近视度数 。 由于角膜本身具有弹性 , 在压力解除后一定时期可反弹回原来的状态 , 因此 , OK镜对于近视并没有治疗作用 , 而仅仅是暂时的矫正 。 停戴后近视还会反弹 , 而这一点商家很少告诉患者 。
文章插图
keepital.com
早在20世纪50年代 , 曾报道过有关OK镜的初步研究 , 但直到1962年才引入临床术语“ ortho-k” 。 OK镜最初是为成年人开的 , 旨在减少近视 。 由于在许多研究中发现了近视控制效果 , 因此目前主要针对儿童开处方 。 然而因为OK镜戴取不当等原因也使得OK镜的普及具有争议 。
在美国眼科学会2020年年会中 , 埃默里大学眼科医学中心眼科博士Amy K. Hutchinson称 , 其研究发现使用OK镜可以治疗近视 , 不过目前仍无相关研究发表 。
文章插图
美国眼科学会2020年年会
Hutchinson博士解释说:“这项技术使用了反向几何形状的刚性透气性隐形眼镜 , 其基本曲线半径比中央角膜曲率平 , 而次要曲线比基本曲线半径更陡 。 ”中央角膜变平将图像聚焦在中央凹上 , 从而无需患者白天进行矫正 。 同时使角膜周围变陡并在周边视网膜上引起近视散焦 , 从而控制近视 。 在美国 , OK镜已获准过夜配戴 。 在欧洲 , Menicon Bloom镜片获得了用于控制近视的欧洲合格标记 。
最近 , 日本学者在《自然》子刊(Scientific Reaport)上发表了一项关于联合OK镜和0.01%阿托品溶液对延缓近视儿童的轴向延长的疗效的研究 , 该研究是一项为期2年的随机试验 。
文章插图
【ok镜|矫正近视,OK镜到底OK不OK?】该研究招募了80名年龄在8-12岁等效球面屈光度(SER)为-1.00至-6.00屈光度(D)的日本儿童患者 , 随机分为两组 , A组接受OK镜和0.01%阿托品溶液的组合(联合治疗组) , B组为OK镜单一治疗(单药治疗组) 。 其中 , 73名受试者完成了为期2年的研究 。
文章插图
此外 , 研究者对比分析了两组的轴向长度变化 。 眼轴是由角膜正中到视神经与视网膜黄斑中心窝之间的一条假设线 , 长22~27mm 。
文章插图
结果显示 , 两组在四个时间点(超过6、12、18和24个月)的眼轴长度变化存在差异显著(P ?= 0.02) 。 在3个月的研究前期中 , 联合治疗组(0.02±0.07 mm)和单药治疗组(0.02±0.10 mm)之间的轴向长度变化无明显差异;但在6个月和12个月(即第一年)联合治疗组(0.06±0.08 mm和0.12±0.08 mm)的轴向长度变化明显小于单药治疗组(0.10±0.09 mm和0.21± 0.13mm) 。
结果显示 , OK镜和0.01%阿托品的联合治疗可以更好地减缓近视儿童的轴向伸长 , 尤其是在第一年 。 初始近视度低的儿童中 , 联合治疗可减缓轴向伸长的疗效更高 。 对于中度初期近视的儿童 , 联合疗法与OK镜单一疗法的效果相同 , 因为OK镜疗法可以更有效地减慢这些儿童的轴向伸长 。 同时 , 该研究表示这种联合疗法可能是延缓轴向伸长的一种有用且最佳的治疗选择 , 尤其是对于初期近视度低的儿童 。
此前 , 有研究学者对患者对OK镜的观点进行了研究 , 结果发表在Dove Medical Press上 。
文章插图
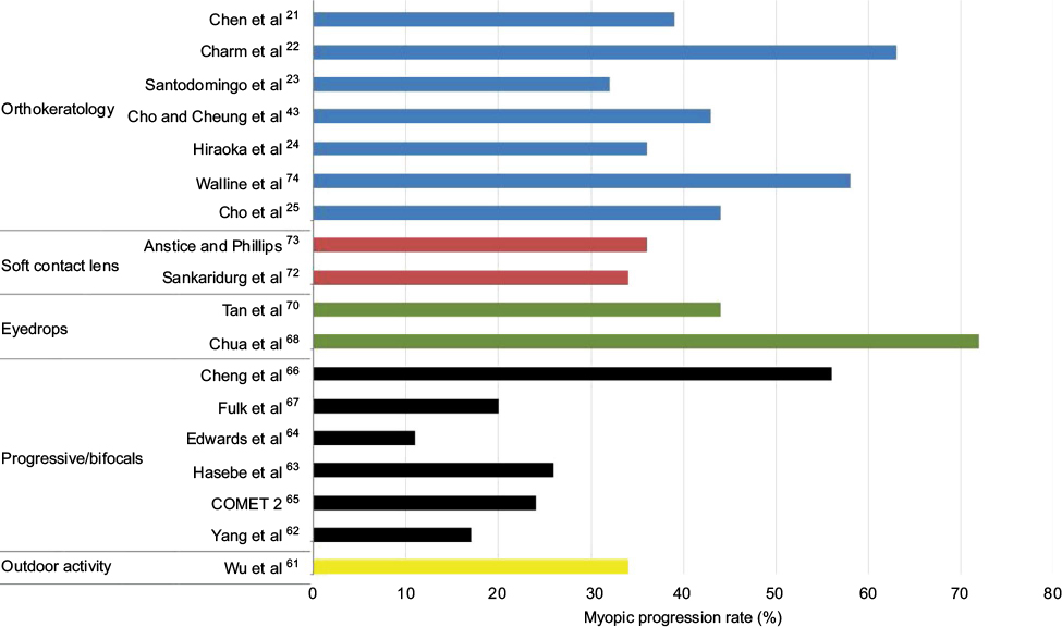
该研究显示OK镜可以降低低度近视、高度近视和散光患者的近视进展 。
文章插图
使用不同干预措施的临床研究中的近视进展率 。 DOI:https://doi.org/10.2147/OPTO.S104507
从患者对于OK镜的所持观点方面 , 研究者指出 , OK镜重塑角膜轮廓并改变角膜的光学质量 , 治疗后 , 高阶像差显著增加;患者会在昏暗的灯光下出现光晕和眩光;在治疗的最初几周内 , 出现视觉异常 , 这是一种短期状况 , 当患者适应时会改善;在整体视觉 , 外观、学习成绩和同伴感知方面 , 戴矫正眼镜的孩子比戴眼镜的孩子更满意 。 OK镜小组儿童的监护人希望他们继续佩戴 。
文章插图
来源:pixabay
尽管近视控制越来越普及 , 但要成为大多数眼保健实践中的护理标准 , 还有很长的路要走 。 随着药理学方法、隐形眼镜和生活方式的改变 , OK镜为许多年轻人提供了一个机会 , 使他们可以免于每天戴眼镜或者戴隐形眼镜 。
那么 , 什么人可以用OK镜呢?根据深圳市发布的《角膜塑形镜验配技术规范》:
适应证申请配镜者应同时符合以下要求:
a) 屈光状态为近视或近视散光 , 近视度数发展较快;
b) 不小于 8 岁 , 未成年人有家长监护配合治疗 , 经训练具备镜片配戴应有的自理能力;
c) 近视屈光度数为-0.50~-6.00D , 角膜性散光
d) 角膜曲率范围为 41.00~46.00D;
e) 无眼部疾病及其他角膜塑形镜禁忌证;
f) 个人条件相对适应证:申请配镜者或其监护人能够理解角膜塑形镜的局限性 , 依从性非常好 ,能依照医嘱按时复查并按规定清洗及更换镜片 。
禁忌证申请配镜者存在以下任一情形 , 不应配戴角膜塑形镜:
a) 屈光度数大于-6.00D , 逆规散光或顺规散光屈光度数高于-2.00D;
b) 眼部活动性炎症;
c) 眼周化脓性病灶;
d) 严重的眼附属器病变;注:眼附属器病变 , 如眼睑缺损、畸形、慢性泪囊炎等 。
e) 严重干眼病;
f) 未受控制的青光眼;
g) 全身性感染性疾病、未受控制的全身结缔组织病及严重自身免疫性疾病;
h) 个人条件相对禁忌证:个人卫生相对不良、依从性差不能按时复查及清洗镜片者;
i) 其他不适合配戴角膜塑形镜的情形 。
其他情形:其他情形应由有经验的医师酌情考虑并开具处方后 , 指导申请配镜者配戴角膜塑形镜 。
中华医学会眼科学分会眼视光学组指出 , 尽管大量的临床观察和文献报道均证明了角膜塑形术总体的有效性和安全性 , 但是 , 以过夜配戴镜片为主要矫正方式及其镜片的逆几何设计使角膜塑形镜引起并发症的概率比配戴其他接触镜要高 。 因此 , 应该针对角膜塑形术中的主要不安全因素 , 提出有效防控措施 , 将风险降至最低 。
文章插图
该指南指出 , 配戴角膜塑形镜后引起的眼部器质性或功能性问题主要包括角膜染色、角膜压痕、角膜隐窝、角膜铁线环、角膜浸润、角膜感染、重影和眩光 。
角膜染色的常见原因有镜片配适不良、镜片设计降幅过大、镜片污损、干眼、镜片黏附、机械损伤和护理液毒性反应等 。
角膜浸润由于缺氧或局部刺激等引发炎症反应 , 角膜缘血管扩张、渗出液侵入角膜引起角膜局部肿胀或混浊 。 可能与镜片污损、配适过紧及配戴者身体状况不佳等有关 。
角膜感染是配戴角膜塑形镜比较少见的但却最严重的并发症 , 往往与配戴者依从性相关 , 镜片的污损、过期使用、镜片变形、护理不当以及忽略定期复查是主要的诱因 。
重影或眩光其主要原因是镜片偏位 , 睡姿不良引起的角膜散光增大等 , 眩光的主诉会更多见于一些近视度数较高或瞳孔较大的配戴者 。
文章插图
来源:pixabay
需要提出的是:无论是眼镜、隐形眼镜还是OK镜 , 务必要遵守医生建议的佩戴时间和更换时间表 。 注意用眼卫生 , 不适随诊 , 这样才OK!
来源:梅斯医学综合报道
作者:Oranhgy Du Jack
校对:臧恒佳
责编:潘颖
推荐阅读
- 显微镜|假如人类可以把显微镜提升到40亿倍,是不是全新的宇宙观?
- 肠镜|做肠镜到底有多痛?对身体有伤害吗?医生:不必有太大的心理压力
- 胃肠镜检查|双医生亲身经历,给大家分享一下——胃肠镜检查。
- 近视手术|近视800度如何选择近视手术方式?其实不难!
- 内窥镜|多频超声内窥镜研究取得进展
- gitelman综合征|Gitelman综合征,低钾低镁,担心做胃肠镜不安全怎么办?
- 望远镜|我国也有空间望远镜了!视角场超哈勃300多倍,有望在2022年发射
- 杨振宁|镜里镜外的世界一样吗?不一样,杨振宁的宇称不守恒告诉你原因
- 蒸鸡蛋羹时,牢记“加3样”,蛋羹细嫩鲜美,光滑如镜
- 质子|质子和反质子遵守“镜像对称”
