天问一号于7月27日发射 , 啪的一下 , 很快啊 , 2月10号就要进入火星轨道了 。 火星毕竟是四十多亿岁的老同志 , 没有闪 , 这下要被天问一号看光光了 。
文章插图
文章插图
01、如何入轨?动量的“小”把戏
文章插图
文章插图
图注:牛顿摆 , 动量守恒的“把戏” 。
文章插图
文章插图
图注:旅行者1号在飞掠木星的时候 , 可见其双曲线逃逸轨道 。
文章插图
怎么做呢?刹车 。
当今航天器的刹车方法主要有两种 , 利用行星大气层阻力和空气动力的“大气刹车” , 和利用火箭发动机的反向推进刹车 。
文章插图
图注:MRO(Mars Reconnaissance Orbiter) , 正在进行大气刹车 。
文章插图
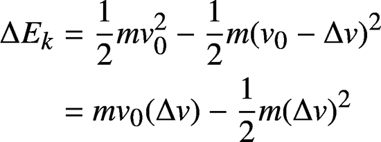
【天问一号|天问一号准备怎么飞?环火轨道简述】那么根据动量守恒定理:
而火箭动能的改变量则为:
文章插图
文章插图
02、极地轨道?长啥样?
文章插图
文章插图
图注:天问一号原计划的轨道机动计划 。 与当前最新公布的并不完全相同 。 不过 , 最终的265X12000km的科学任务轨道 , 与目前的计划是一致的 。
文章插图
文章插图
图注:好奇号火星车进入火星大气层的动画模拟 。 到时候咱们的天问一号火星车也要来这么一遭 。
文章插图
文章插图
图注:天问一号轨道器搭载的科学载荷 。 第一行:载荷控制器、中分辨率相机、高分辨率相机;第二行:火星矿物谱仪、火星离子和中性粒子分析仪、火星能量粒子分析仪;第三行:磁通门磁强计电子学箱、磁通门探头、火星轨道科学勘察雷达主控制器 。 (Zou , 2020)
在天问一号火星车任务结束之后 , 天问一号轨道器也会将轨道降低至最终的265X12000km , 这个轨道被称为“科学轨道” , 将被用于后续天问一号轨道器的具体科学测量任务 。
03、科学测量?高椭圆轨道很重要
文章插图
文章插图
图注:太阳风磁场与火星电离层相互作用 。 本图视角为从北极向南极看 。 (Brian , 2006)
文章插图
文章插图
图注:截止目前最先进的火星轨道探测器 , NASA的MAVEN 。 它虽然具备探测火星磁场的仪器 , 但是轨道高点只有6000km , 高度不足以测量火星磁尾 。
文章插图
为此 , 天问一号轨道器搭载的磁强计 , 将采取如图的测量模式:
文章插图
图注:火星磁强计的测量模式:轨道近拱点的2小时 , 和轨道远拱点的1小时 , 采用32Hz的高采样模式 , 其余时间采取1Hz的低采样模式 。 (Liu , 2020)
文章插图
文章插图
文章插图
文章来源:中科院地质地球所 (版权归原作者 , 如有侵权 , 请联系删除)
由唐山微科普重新排版编辑
点个在看你最好看
推荐阅读
- 同事来做客,我准备了8菜1汤,半小时端上桌,吃个精光汤也不剩
- 职场妈妈准备晚餐,方便省心营养全,30分钟端上桌,家人都满意
- 天问一号|“天问一号”为什么要进入“停泊轨道”?
- 今日休息,为家人准备做这四个美味的家常菜,老婆孩子都喜爱吃的
- 为家庭晚餐准备了三道菜,它们充满了色彩、香味和味道
- 忙完工作,准备一些家常菜,一家人坐一起吃,真踏实呀
- 天问一号|天问一号即将登陆,美国呼吁共享科研成果,要求交出火星轨道数据
- 火星|美国已有5台探测器着陆火星,为何还要天问一号的数据?
- 为客人准备了一些超级美味的硬菜开胃菜后很容易吃米饭很好吃
- 卫星|我国成功发射遥感三十一号04组卫星!
