概率计算|为什么我们能碰上这么多“百年一遇”的洪水?
近期多地遭受到暴雨洪水灾害 , 让我们为受灾群众牵挂不已 , 也不禁让人产生了一些疑惑:“为什么号称‘20年一遇’的大洪水 , 似乎每年都会听说?”
看完本文你会发现 , 如果“20年一遇”的洪水不是每年都出现 , 那才是怪事呢 。
此“N年一遇”非彼“N年一遇”
很多时候 , 公众会对科学名词产生望文生义的误解 , “N年一遇”就是其中之一 , 人们很容易将这个词理解为“N年才会出现一次” 。 我们可以类比一下汉语中的另外一个词“千载难逢” , 这个词的意思是“一千年也难见到一次 , 形容事情的罕见程度” 。 很明显它使用到了夸张的手法 , 所形容的事件也并非是真的每1000年才会出现一次 。 也就是说 , 无论是“千载难逢”还是“N年一遇” , 其实说的都是某一事件的罕见程度 。
以“100年一遇”为代表的“N年一遇”类词汇 , 是一组科学术语 。 简单地说 , 它们意味着对于某事件来说 , 在观察以往数据的基础上 , 该事件在一年里发生的概率 。
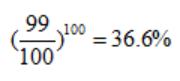
例如对于某地域来说 , 我们观测了该地100年的夏季降水数据 , 发现只有1次降水量大于1000毫米 , 那么我们可以认为对该地来说 , 大于1000毫米的降水量就是“100年一遇” 。 也就是说 , 对于任何一年来说 , 该地降水量大于1000毫米的概率都是1% , 而两次1000毫米降水的“平均”间隔是100年 。 因此 , 100年一遇的意思不是“100年才出一次” , 而是“每一年出现的概率都是1%” 。
因此 , 未来10年 , 该地至少出现一次100年一遇降水的概率是

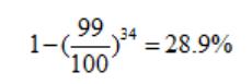
更有意思的是 , 100年一遇降水在未来100年内一次都不出现的概率 , 其实也很大 。

为了更好地说明问题 , 请大家看一幅图:

图片来源:waterwatch.usgs.gov该图描绘了美国某条河流每年的洪水峰值 , 中部的黑线表示的是10年一遇的标准 。 虽然超过该线的洪水平均间隔10年才会来一次 , 但是我们可以看到 , 9次发生洪水的间隔中只有3次超过了10年 。 所以给人的感觉就是“10年一遇的洪水往往不到10年就会发生一次” 。
但是大家要注意的是 , 还有一类使用 “N年一遇”的说法的现象 , 例如我们常说“哈雷彗星的出现是76年一遇的天文现象” , 这是因为哈雷彗星围绕太阳运行的周期是固定的76年 , 并不是概率事件 。 所以我们2020年看到哈雷彗星的概率并不是76分之一 , 而是零 。 大家一定要注意区分开这两种不同的“N年一遇”的用法 。
“N年一遇”为何每年都会遇到?
有两个原因导致了我们现在会频繁地遇到“N年一遇”的自然灾害 。
首先 , 通过上文我们知道 , 确定“N年一遇”的标准时 , 需要依赖以前的观测数据 。 虽然通过精确的观察和计算 , 工程人员可以确定一个合理的标准 , 但是我们无法预知未来 , 不知道这些数据是不是真的与未来的数据相符 。 随着全球气候变化的进程 , 极端天气的发生频率也越来越高 , 所以那些根据以前的数据制定出来的“N年一遇”的标准 , 可能就变得不准确了 , 这是我们现在频繁遇到N年一遇的灾害的原因之一 。
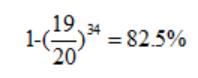
其次 , 我们描述N年一遇时 , 是有地域概念的 。 我国幅员辽阔 , 有30多个一级行政区 , 各自的100年一遇的标准也是各不相同的 。 只要有其中一个发生了100年一遇的灾害 , 我们就会在媒体上读到信息 , 从而了解到“中国今年发生了100年一遇的灾害” 。
根据概率计算可以知道 , 34个一级行政区中 , 每年至少有一个行政区遭遇100年一遇灾害的概率大约是

这个概率已经很高了 。 如果我们考虑50年一遇的话 , 那么结果是 ,

这就意味着 , 每年我国至少有一个行政区遭遇50年一遇灾害的概率是50%左右 , 这就已经很可观了 。 如果回到我们标题中所说的20年一遇 , 我们会发现这个概率是 ,

也就是说 , 每年我国发生至少一次20年一遇灾害的概率高于80% 。 这样看来 , 20年一遇的洪水 , 似乎每年都发生也很正常 。
那么为什么在很多人的印象里 , 以前没有过这么多的20年一遇呢?这主要是因为现在我们的媒体和网络都很发达 , 无论什么地方发生灾害我们都可以第一时间得到消息 , 所以会造成一种“以前没有这么多灾害”的假象 。 另外 , 正如前文所说的 , 现在的地球正在经历全球气候变化的进程 , 极端天气的发生频率确实在逐渐增加 。
科学界的“历史遗留问题”
“N年一遇”的歧义很早之前就被人们诟病了 , 这套术语能够沿用至今 , 其实是一个历史遗留问题 。 在科学发展的历程上 , 经常会出现一些新的概念或术语 , 经过后人的发展研究之后 , 发现原来那些术语是错的 , 但是原来的术语由于已经被很多人使用开了 , 就不好纠正了 , 所以只能放任了 。
和“N年一遇”相似的例子还有“光栅” , 虽然字典里讲这个字在这里读作“shan” , 但一看光栅的样子我们就知道这个“栅”在这里应该是“栅栏”的意思 , 所以读作“zha”才是正确的读音 , 只不过最早被引入我国的时候被人成了“shan” , 所以大家就都跟读“shan”了 , 还被收进了字典 , 成了标准音 。

△ 一个衍射光栅的局部放大 , 可以看到明显的栅栏状结构 。 (图片来源:参考文献1)
再比如曾经化学家们认为“吸收氧气的反应叫做氧化反应” , 但是后来人们发现 , “氧化”这一词不够本质 , 物质被“氧化”的本质是该物质失去了电子 。 但是“氧化反应”这个词作为历史名词保留了下来 , 很多没有氧气参与的反应也是氧化反应 , 因为在这些反应中 , 物质失去了电子 。
生物学中也有类似的例子 , 例如我们熟知的“进化”一词 , 对应于英文的evolution一词 。 “进化”总给人以“生物变得越来越先进”的错觉 , 事实上 , 进化指的是物种随着时间而逐渐发生变化的过程 , 进化并不意味着地球上的生物越来越“先进” 。 但是“进化”这个词由于被广泛应用 , 所以成为了标准的科学术语 。
科学是严谨的 , 但是语言承载了交流的功能 , 需要考虑交流的方便性 。 如果非要严谨 , 强行把“20年一遇的洪水”改为“每年发生概率是5% , 两次之间的平均间隔是20年的洪水” , 那么就大大影响了语言的交流功能了 。 因此我们也不必要求大家非得把语言调整到滴水不漏 , 很多广为流传的“错误”术语也会成为约定俗成的“正确”说法 , 这也正是探索科学过程中的乐趣之一 , 不是吗?
参考文献
1. David, C., Bruder, J., Rohbeck, T., Grünzweig, C., Kottler, C., Diaz, A., Bunk, O., & Pfeiffer, F. (2007). Fabrication of diffraction gratings for hard X-ray phase contrast imaging. Microelectronic Engineering, 84, 1172-1177.
——
出品:科普中国
制作:牟福朋
【概率计算|为什么我们能碰上这么多“百年一遇”的洪水?】监制:中国科学院计算机网络信息中心
【概率计算|为什么我们能碰上这么多“百年一遇”的洪水?】
推荐阅读
- 科学探索|为什么科学会在需要时让我们失望?
- 不起眼的朗姐|和老人出去旅游,为什么会觉得心累?网友:只要老妈身体允许以后还要带她去,哈哈哈哈
- 终于|十四年后,那句“不是你撞的为什么要扶”, 终于酿成了恶果
- 历史真相:印度为什么要年复一年谋求“入常”,有哪些国家支持?
- 中华冷兵器课堂|斩马刀为什么被大家称为“古兵神器”?它有什么妙处?
- 苦要自己尝|宝宝为什么更爱吃妈妈做的饭?“妈妈的味道”竟藏着大的秘密
- 村民|有的离任村干部,为什么比普通村民还清贫?原因就是这3个!
- 别再学习框架了,看看这些让你起飞的计算机基础知识
- 科普知识大揭秘:为什么喷火器能烧毁对方而不会引燃自己?
- 《微习惯瘦身篇》为什么你减肥总是失败?微习惯让减肥如此简单
