头发|染发安全吗?你关心的染发剂小知识都在这里
距离农历新年还有20多天的时间,理发店里又热闹了起来。
年轻人为了帅酷美,中老年人为了遮盖白发,会把头发染成其他颜色,以全新的状态迎接新的一年。
但是网络上不乏关于染发危害健康的信息,染发真的不安全吗?
文章插图
什么是染发剂
染发剂是一大类特殊化妆品的统称,按照《化妆品安全技术规范》的定义,染发剂是为改变头发颜色而在化妆品中加入的物质。广义来讲,以改变头发颜色为目的的产品均称为染发剂。
染发剂按其对头发着色时间的长短分为暂时性染发剂、半永久性染发剂、永久性染发剂;按染发原理又可分为氧化型染发剂和非氧化型染发剂。
染发剂如何改变头发颜色
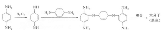
日常使用的染发剂大部分为氧化型染发剂。染发在碱性条件下进行,这时头发角蛋白变得膨胀,小分子染料中间体(对苯二胺、氨基苯酚等)渗入到头发纤维中,与氧化剂(过氧化氢等)发生氧化反应,生成亚胺,亚胺再在耦合剂(间位苯二胺等)的作用下发生偶合反应,进一步缩合生成有颜色的大分子茚达染料,留滞在头发组织中,达到染发效果。
文章插图
常见染料中间体及染色后的颜色如下表:
文章插图
网络上不乏关于染发危害健康的信息,染发真的不安全吗?会导致过敏吗?
文章插图
染发的这些危害你要知道
①导致过敏
很多人会把刺激反应和过敏反应混为一谈。染发剂中的碱剂、氧化剂都有可能引起暂时性的刺激反应,比如头皮发红、刺激感等,这些问题一般很快就能恢复。
但是,染发剂中的苯二胺类物质则可能引起过敏,诱发俗称的染发皮炎。大家也不必过度担心,正规批准上市的产品对该成分都有严格的用量控制。
②损伤头发
【 头发|染发安全吗?你关心的染发剂小知识都在这里】氧化剂是染发剂的重要组成部分,它对头发角质蛋白的破坏力相当大,易对头发造成损伤,经常使用会使头发枯燥、发脆、开叉、易脱落。
文章插图
③产生有害气体
染发剂一般由两种成分组成,使用时先要将其混匀再涂抹在头发上,在混合的过程中会产生有害气体二噁英,二噁英通过呼吸道进入人体内,在肌肉中长期滞留会干扰人体内分泌,长期接触或将导致人体基因变异畸形。
但是,很多人会觉得自己一年才染那么几次,危害应该不大的。确实,染得越频繁,危害越大。那么,一年染几次比较合适?还有哪些需要注意的?
如何染发才能降低危害?
①染发前48小时在身体进行小范围测试。为避免引发过敏反应,染发前先取少许染发剂涂在手臂内侧或耳后皮肤上,两天内无水疱或灼痛感等异常反应时再染发。
②染发前涂点凡士林。头部皮肤较敏感的人群,可以染发前,在额前、耳后沿着发际,或头皮上薄薄涂一层清爽乳液或凡士林,这样染发剂就不容易直接接触头皮,在清洗时也更容易彻底清洗。
③降低染发频率。染发时间至少间隔3个月,一年最好不要超过2次,并且最好到专业理发店染发。
④选择半永久或暂时性的染发剂。染发剂一般分为暂时性、半永久性、永久性3种,保持颜色的时间越久,它对健康的危害越大。
总体来说,头发能不染就不要染,自然的才是最美的;如果一定要染,上述建议值得参考。
推荐阅读
- 苟芸慧|37岁寡姐火辣红唇抢镜,头发梳得紧贴头皮,网友:头发有点少了
- 水温|染完头发的第二天可以洗发吗?可以是可以,但要注意这三个细节
- 黄圣依|黄圣依的下车照火了,弯腰不捂领口惹争议,被质疑缺乏安全意识
- 郑恺|郑恺一家三口日常曝光!教妻子嗦粉给女儿梳头发,小酸奶甜喊妈妈
- 许敏|姚威应尽快回九江,这既是为了确保安全,也具有支持许敏的意义
- 钟汉良|李小冉钟汉良浴室拍吻戏!衣服头发被被淋湿,咬嘴唇口红蹭一脸
- 春晚|众老面孔现身春晚联排,刘欢头发花白显憔悴,郭冬临时隔3年回归
- 穿衣搭配|李嘉欣病愈后现身阔太聚会,特地染发提精神,全副武装穿衣最保守
- 军人|女明星穿军装谁最真实?有人短头发获好评,有人大红唇被骂太假
- 张雨绮|张雨绮参加活动领口大开,弯腰不用手捂,被吐槽缺乏安全意识
