吸烟是可预防的主要死亡原因 , 高收入国家的研究显示 , 吸烟者中有三分之二的人死于吸烟 。 根据全球疾病负担研究 , 吸烟在2019年造成了近900万人的死亡 。 然而 , 来自中低收入国家的大规模前瞻性证据有限 。 而世界上大多数吸烟者生活在这些中低收入国家 , 他们的吸烟习惯可能与高收入国家不同 。 特别是在许多中低收入国家 , 低强度吸烟(即每天吸食相对较少的香烟)很普遍 , 但低强度吸烟对健康的影响还没有完全确定 。
在拉丁美洲和加勒比地区约5千万吸烟者中 , 约有1千万生活在墨西哥 。 墨西哥的全国调查表明 , 非每日吸烟很普遍 , 即使在每日吸烟的人中 , 平均每天吸烟的数量也不到10支 。 而之前研究的大多数高收入人群中 , 每天吸烟者通常每天可能会吸15至20支烟 。
那么墨西哥人这种低强度吸烟与死亡率的关系如何呢?为了回答这个问题 , 研究者分析了墨西哥成年人的前瞻性队列 , 研究成果近日发布于流行病学权威期刊International Journal of Epidemiology 。
文章插图
【吸烟|即使是低强度吸烟,也增加死亡风险!】该研究于1998-2004年招募了159 755名墨西哥成年人 , 记录了他们的基本信息及吸烟情况(包括吸烟状况、吸烟量、开始吸烟的年龄和戒烟信息) , 然后对参与者的因病死亡情况进行追踪 , 追踪到2018年1月1日 。 研究者根据吸烟状态对参与者进行分类 , 然后使用Cox回归模型估计吸烟与死亡率的关系 , 并且对混杂因素进行校正 。
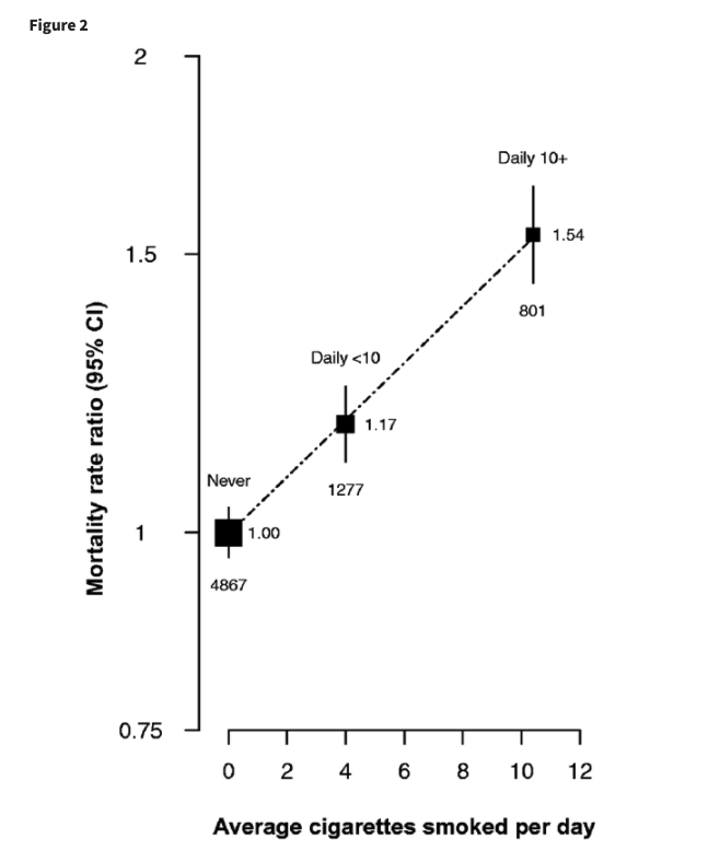
研究发现:在42416名男性和86 735名女性(年龄在35-89岁之间 , 以前没有患病)中 , 18985名男性(45%)和18 072名女性(21%)目前吸烟 , 其中33%的男性吸烟者和39%的女性吸烟者并不每天吸烟 。 8866名男性(21%)和53 912名女性(62%)从不吸烟 。 在随访期间 , 与从不吸烟相比 , 每天和1.54 。 无论年龄或性别 , 危险比相似 。 与每日吸烟关系最密切的疾病是呼吸道癌症、慢性阻塞性肺病和胃肠道及血管疾病 。 在招募时已经戒烟的人的死亡率低于现在每天吸烟者 。
文章插图
每天吸烟与从不吸烟对35-89岁全因死亡率的影响 , 按吸烟量分类 。 根据年龄、地区、最高学历和饮酒量进行了调整
文章插图
每天吸烟与从不吸烟对35-89岁特定原因死亡率的影响
在这项针对墨西哥成年人的大型研究中 , 一半的男性和四分之一的女性吸烟 , 但平均香烟消费量很低 , 非日常吸烟很常见 。 但值得注意的是 , 即使每天吸几支烟也与死亡率增加有关 。 戒烟可以避免大部分长期吸烟带来的超额死亡风险 。
文献来源
Blake Thomson, Roberto Tapia-Conyer, Ben Lacey, Sarah Lewington, Raúl Ramirez-Reyes, Diego Aguilar-Ramirez, et al. Low-intensity daily smoking and cause-specific mortality in Mexico: prospective study of 150 000 adults, International Journal of Epidemiology, 2021; dyab013, https://doi-org.proxy-ub.rug.nl/10.1093/ije/dyab013
推荐阅读
- 减肥也能吃的小零食,营养美味,低脂低热量,多吃也不怕!
- 吸烟|戒烟的最佳年龄已公布,提醒:若在正确的年龄戒烟,或可延年益寿
- 春分前后,多吃1道碱性蔬菜,低脂不长胖,清脆爽口又下饭
- 低脂高蛋白的下饭菜,好吃到舔盘子,常做给孩子吃,补锌又补钙!
- 吸烟|想戒烟反复几次不成功,告你一个简单有效的方法
- 转基因|转基因背锅?去年已有不少弃种,如今产地低至3毛钱,果农愁销路
- 肝硬化|得了肝硬化,千万别大意!这样做,大大降低死亡率
- 解救馋嘴孕妇的低糖“甜品”,快来学学吧
- 怕胖的人主食别总吃米面了,多做这个吃,味道好,低热量高饱腹!
- 春季时令尝鲜野菜??荠菜素春卷??低脂少油版
