文章插图
文章插图
牛人就是牛人 , 往往从出生就不同凡响 。 比如刘邦的老娘王氏有天在河边睡着了 , “梦与神遇” 。 此时电闪雷鸣 , 刘邦的老爹出来寻找老婆 , 找到河边 , 看见蛟龙伏在王氏身上 。 王氏回家后不久怀孕 , 生下了刘邦 。 中国历史上这样故事多得是(要是现在发生这事 , 搞不好就得验DNA了) 。
【爱因斯坦|日出生的爱因斯坦】牛人爱因斯坦是外国人 , 像刘邦那样的穿凿附会的传说未曾听说过 。 但是爱因斯坦毕竟是爱因斯坦 , 不用传说! 直接上—--因为142年前他出生日就是π日 , 3月14日 。 牛人的巧合就是奇迹!!!
爱因斯坦于1879年3月14日出生于德国 , 后来移居美国 。 KFC不懂他的理论 , 所以对他只有仰慕(很小的时候 , 同学之间争论常常说爱因斯坦的理论都是“相对的” , 也就到这一步) 。 π日(Piday)是庆祝圆周率的日子 , 当然是因3.14而来 。 2009年美国众议院正式通过一项决议 , 将每年3月14号设定为“圆周率日”(NationalPi day) 。
我们普通人因为懒 , 所以喜欢直的模型 , 而地球是圆的 。 直和圆要联系在一起 , 联系的途径就π 。 我们庸人喜欢简单的模型、眼前的苟且 , 但是客观世界是复杂的 , 生命可持续存在需要长远的视角 。 消弭简单的眼前苟且与复杂的长远视角之间的鸿沟是像爱因斯坦这样的天才 。 所以爱因斯坦出生于π日!!!
文章插图
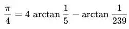
如同爱因斯坦的相对论带出了一批诺贝尔奖获得者一样 , 人类挑战π也持续不停 , 从我们刘徽到祖冲之 , ......据说祖冲之的密率355/113(七位精度)的领先地位一直保持了800多年(想想现在的手机品牌 , 哎!) 。 在1706年,梅钦(JohnMachin)给出了近似式
文章插图
其精度可达100位 。 牛人冯·诺依曼用当时的ENIAC计算机算了70个小时(195) , 实现了2037位精度 。 目前 , 结合先进的计算和高性能计算机 , 以及把精度位数提高到10^13量级了 。
文章插图
这种追求情怀当然是国际上少数π铁粉的行为 , 不过 , 尽管是少数 , 但仍有铁粉 , 然而国内却没有“民科”做这事 。 这大概因为:1)需要编程(民科往往不会);2)不能乱说(因为有事实的数据 , 民科无法信口开河);3)近似计算理论需要扎实的数学功底(民科对这个最扎心) 。
与π铁粉的屈指可数相比 , 相对论的民科专家可就多了去了 。 几年前引力波时髦起来 , 国内有个初中生就蹭“引力波的预测” 。 其实爱因斯坦在提出广义相对论不久 , 自己就研究了这个问题 , 起初他认为引力波是不存在的 , 不过他不是像我们初中生那样靠“感觉”来预测 , 而是基于公理化体系的复杂推导(民科最烦这个 , 看看国内民科的文章有什么推理或冗长的数学推导?) 。 当文章送到编辑部让审稿人审时 , 审稿人很仔细地重复了爱因斯坦推导过程(我们民科的文章能让审稿人重复吗?) , 发现推导过程有错误 , 杂志便把文章退了 。 后来“匿名”审稿人鬼使神差地与爱因斯坦本文一起又重新推导一遍 , 修正了推导过程中的错误 , 结论变为:引力波是存在的 。
英语有个词windfall , 意思是风吹落的果实 , 也就是唾手可得意外之财 。 很可惜 , 民科生不逢时 , windfall都被像法拉第和爱迪生之类的历史人物捡得差不多光了 。 要是你们早出生400年 , 也许你就是牛顿了 。 现在 , 要经过长期培训 , 才能知道哪里有windfall 。 当然像有钱的马斯克搞工程组合“创新”除外(这种其实是商业组合 , 离真正的科学discovery还是有点距离的) , 可是民科要是有马斯克那么多钱 , 是否还有“民科情结”呢?
现在转基因吵得很厉害 。 质疑转基因的似乎都不是专业的生物学家 。 非专业人员是不是就不能吵吵呢?和相对论还是不一样(相对论正确与否与我们生存和生活的直觉离得比较远) , 转基因与我们日常生活 , 甚至维持我们身体的可持续关系密切 , 与我们赖以生存的生物圈关系密切 , 所以即便是非专业人员出来吵吵 , 也应该允许 。 但是专业人员对自己的专业要有定力 , 政府官员要有自己决策能经得起历史的检验(要有“功成不必在我”信念)的理念 , 所以不管非专业人员怎么吵 , 该做研究还是要做的!至于商业化推广则要慎之又慎!另外专业人员拿了纳税人的钱做研究 , 面对公众的关切 , 也应该要做适当的澄清(涉及技术保密和国家战略利益的除外) , 究竟有什么样的危害 , 时间有多长 , 概率有多大 , 和现有的生存方式之比是否值得等等 。
扯得有点远 , 回到π日出生的爱因斯坦 。 KFC一直不敢碰相对论 , 但是在讲授《机械振动》中波传递时 , 就“光速在任何惯性坐标系都相等”那个狭义相对论假设有点耿耿于怀 , 于是就找了些文献读读 , 写了篇教学论文 , 只是教学论文!(不像普通民科那样动则宣称惊人的、推翻人类现有知识体系的“发现”) , 发表于《物理与工程》(2017年第6期31-36页) , 供各位大佬批判 。
跳过拙文的数学推导 , 有个哲学问题 。 按照狭义相对论 , 似乎是按表观现象来定义现实世界的 , 而表观的手段是光波 。 如果没有被光波被检测到 , 则世界似乎就不存在了 。 另外 , 光波速度又有“对任何惯性坐标系不变”的特殊性 。 这些都难以让KFC心安理得的接受 。 不过现在的观察结果与相对论的预测结果还没有违背的 。 相对论现象是在高速(不是我们肉眼观察的速度)下才明显 , 此时测量手段肯定就是用光波(或电磁波) , 所以观察到的结果没有与相对论假设的光速性质相违背的 。 如果人类能找到更快的测量方式呢?
谨以此文纪念π日出生的爱因斯坦 。
推荐阅读
- 小学生的早餐这样吃,健康又营养足,早起半小时就搞定了,特香
- 疫苗|最新《细胞》确认!多种新冠变异病毒,可抵抗疫苗产生的抗体
- 中学生的早餐,每天20分钟,营养全面美味可口,一连七天不重样!
- 七点钟做好小学生的早餐,营养齐全味道好,邻居:还缺孩子吗?
- 引力|科学家进行了迄今最小的引力测量:相当于一只瓢虫产生的引力
- 南方古猿|人都是女人生的,在人类出现之前,第一个女人是哪里来的?
- 爱因斯坦|一个无法复制的神话——爱因斯坦诞辰纪念丨展卷
- 爱因斯坦|在爱因斯坦的理论框架内,找到超越光速的可行性
- 不想用手揉丸子,有什么干净卫生的方法吗?
- 初中生的早餐吃什么?收藏好这七套,吃一星期也不重样,营养美味
