海归学者发起的公益学术平台
分享信息 , 整合资源
交流学术 , 偶尔风月
几个世纪以来 , 物理学家提出了许多理论上的预言 , 改变了我们对世界运行方式的理解 。 David Appell是一位关注物理学领域的自由撰稿人 , 他选出了其中他认为最重要的十个预言 , 刊发于2021年首期的《物理世界》 。
文章插图
理论背后的面孔
上排:艾萨克·牛顿 , 西蒙·丹尼斯·泊松 , 詹姆斯·克莱克·麦克斯韦 , 艾伯特·爱因斯坦 , 玛丽亚·格珀特·梅耶 , 朱利安·舒温格 。
下排:弗雷德·霍伊尔 , 杨振宁和李政道 , 布莱恩·约瑟夫森 , 维拉·鲁宾 , 肯特·福特
(图片来源 , 上排:Godfrey Kneller(1646–1723);Fran?ois-SéraphinDelpech(1778–1825) );AIP EmilioSegrè视觉档案馆 , 脆性图书收藏;Ferdinand Schmutzer , 1921年;美国能源部;AIP EmilioSegrè视觉档案馆 , 《今日物理学》收藏册 。 实验室/开尔文·法根(Kelvin Fagan);《华盛顿时报》 / Shutterstock;AIP EmilioSegrè视觉档案馆 , 约翰·欧文(John Irwin)幻灯片收藏)
在物理学版图中有一种理想的划分:理论物理学家专注于笔头和黑板 , 做计算和预测 , 而实验物理学家则负责建造设备 , 收集观测并分析数据 。
这两组人相互依赖——实验主义者可能在努力想要证明一个理论是正确或错误 , 而理论家则试图解释实验观察结果 。 对此 , 英国理论物理学家阿瑟?艾丁顿(Arthur Eddington)曾经幽默地讽刺道:“实验主义者会惊讶地发现 , 我们不会接受任何没有得到理论支持的证据 。 ”
各种庞大概念层出不穷 , 而澄清远非一时之功 , 让每一个身处其中的物理学家都时不时会觉得迷失 。 这种情况在其他学科也不少见 。 然而 , 总有那么几次 , 这些群体中的某个人会给出一件作品 , 穿透黑暗 , 清晰如水晶 , 瞬间就将整个领域向前推进一大步 , 甚至开创出一个全新的领域 。 本文列举的 , 正是这样一些理论预言 。
1
开普勒三定律 , 艾萨克·牛顿(1687年)
文章插图
艾萨克·牛顿
英国物理学家和数学家牛顿是通过数学计算进行预测的早期支持者 。 1665年 , 他创造了“fluxions”——我们今天称之为微积分(莱布尼茨几乎在同一时间也独立完成了)——他使得预测物体在空间和时间中的运动成为可能 。 之后 , 牛顿把伽利略(Galileo Galilei)提出的力和加速度的关系 , 与开普勒(Johannes Kepler)的行星运动三定律 , 以及罗伯特?胡克(Robert Hooke)在行星的切向速度和它所受的径向力的关系上观察到的引力方向(指向太阳)和大小(与距离的平方成反比)的规律结合起来 , 并加上他自己的思想 , 设计出他的运动三定律和万有引力定律 。
这四条定律为物理宇宙的研究带来了秩序 , 同样重要的是 , 也带来了建模的数学工具 。 特别是 , 牛顿能够从纯数学中推导出开普勒的三定律 , 即著名的行星以椭圆而不是圆运动的定律 , 同时将其作为他各种假设的试验台 。 这是第一次直接由数学来计算和预测天体的运动、潮汐、分点进动等等 , 同时终于清楚地表明 , 地球和天体现象是由同样的物理规律所支配的 。
2
阿拉戈亮斑 , 西蒙·丹尼斯·泊松(1818年)
文章插图
西蒙·丹尼斯·泊松
法国数学家和物理学家西蒙·丹尼斯·泊松(Siméon Denis Poisson)曾经做出过一个他确信是错误的预测 。 然而 , 这个错误的预测无意中帮助别人证明了光是一种波 。
1818年 , 一些科学家提出法国科学院的年度竞赛应该是关于光的性质的 , 泊松也是其中之一 , 他希望这些参赛作品能支持牛顿的微粒理论——光是由“微粒”(小粒子)组成的 。 然而 , 法国工程师和物理学家奥古斯丁·让·菲涅尔(Augustin Jean Fresnel)提出了一个基于克里斯蒂安·惠更斯(christian Huygen)的假设的想法 , 即光是一种波 , 波前的每个点都是二次小波的来源 。 Fresnal认为所有这些小波相互干扰 。
文章插图
泊松亮斑
这幅图也被叫做“泊松的懊恼” , 可以看到在中心的干涉图所造成的光从一个点光源绕射周围的圆形物体 。 这个小亮点表明光的行为就像一个波 。 (图源:SA Thomas Reisinger)
泊松详细研究了菲涅尔的理论 。 他通过计算发现菲涅耳衍射积分意味着 , 至少对于照明圆盘或球体的点光源来说 , 亮点会位于圆盘后面的轴上 。 泊松认为这是荒谬的 , 因为微粒理论清楚地预言这里应该是完全的黑暗 。
泊松是如此自信 , 一个版本的故事说 , 当比赛的时间到了 , 他站起来 , 在菲涅尔的讲座前面对着他 。 弗朗索瓦·阿拉戈(Fran?ois Arago)是竞赛委员会的数学家和物理学家 , 他在实验室里用火焰、过滤器和一个2毫米的金属圆盘迅速地进行了这项实验 , 圆盘被蜡固定在玻璃板上 。 令所有人惊讶的是 , 阿拉戈观察到了预测的亮斑 。 菲涅尔在比赛中获胜 , 这个斑点后来被称为阿拉戈亮斑、泊松亮斑或菲涅尔亮斑 。
3
光速 , 詹姆斯·克拉克·麦克斯韦(1865)
文章插图
詹姆斯·克拉克·麦克斯韦
1860年 , 在英国伦敦国王学院 , 苏格兰物理学家詹姆斯·克拉克·麦克斯韦开始在电磁学领域取得深入进展 , 将迈克尔·法拉第的实验思想转化为数学形式 。
这一理论在1865年的论文《电磁场的动力学理论》中达到高潮 。 在这里 , 麦克斯韦导出了一组20个偏微分方程(直到1884年奥利弗·海维塞德(Oliver Heaviside)才被转换成我们熟悉的向量演算符号) , 以及六个波动方程 , 其中三个分别代表电场E和磁场的空间分量B 。 麦克斯韦总结说 , 他“几乎无法避免这样的推论 , 即光是由同一介质的横向波动构成的 , 而这种波动是产生电磁现象的原因”——也就是说 , 他预言光是一种电磁波 。
波速(相位)v , 麦克斯韦公式为:
其中μ是介质的磁导率 , ε是介质的介电常数 。 麦克斯韦将空气的渗透率μ取为1 , 利用充电电容器实验确定的空气的ε值 , 麦克斯韦计算出空气中的光速为310740000?m/s 。 他将其与希波利特·菲索的测量值314858000?m/s和让·莱昂·福柯的29800000?m/s进行了比较 , 得出他的结论光是电磁波的推论是正确的 。
4
水星的反常近日点进动 , 阿尔伯特·爱因斯坦(1915)
文章插图
阿尔伯特·爱因斯坦
19世纪40年代 , 法国天文学家乌尔班·勒维里埃仔细分析了水星的轨道 。 他发现 , 与牛顿定律所预测的精确椭圆不同 , 行星椭圆轨道的近日点(离太阳最近的点)正在绕太阳移动 。 这种变化非常缓慢 , 每世纪只有575弧秒 , 但当时的天文学家只能解释与太阳系其他行星相互作用产生的532弧秒 , 剩下43弧秒则无法解释 。
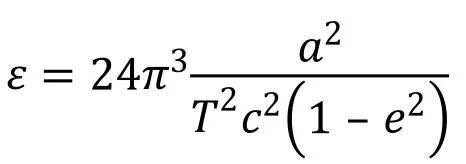
这种差异 , 无论多么微小 , 都困扰着天文学家 。 他们提出了一系列的解决方案——一颗看不见的行星 , 一个牛顿引力定律中指数为2的近乎无穷小的变化 , 一个扁圆的太阳——但一切似乎都显得有点刻意 。 然后 , 在1915年 , 当德国理论家爱因斯坦完成他的广义相对论时 , 他能够计算出弯曲空间对水星轨道的影响 , 由此导出近日点进动的额外位移:
文章插图
其中a是行星椭圆的半长轴 , T是周期 , e是偏心率 , c是光速 。
对于水星来说 , 这正好是每世纪43弧秒 , 正好是缺失的量 。 虽然严格地说这是一个后记 , 但它仍然令人印象深刻 。 “你能想象我的喜悦吗 , ”爱因斯坦当年在给保罗·埃伦费斯特(Paul Ehrenfest)的信中写道 , “结果证明水星近日点运动的方程式是正确的?我激动得说了好几天话 。 ”
5
第二系列稀土元素 , 玛丽亚·戈佩特·梅耶(1941)
文章插图
玛丽亚·戈佩特·梅耶
虽然不断有人向元素周期表中添加新元素 , 但德国物理学家玛丽亚·戈佩特·梅耶则直接添加了一整行元素 。
在美国哥伦比亚大学(Columbia University)期间 , 梅耶遇到了恩里科?费米(Enrico Fermi)和哈罗德?尤里(Harold Urey) 。 由于丈夫在那里工作 , 梅耶并不领薪水 。 费米试图找出铀的衰变产物以及可能存在于它之外的元素 , 因为93号元素镎刚刚被埃德温·麦克米利安和菲利普·阿贝尔森发现 。 费米要求戈佩特·迈耶使用托马斯-费米势能模型(1927年卢埃林·托马斯和费米独立开发的一种数值统计模型)计算厄温·薛定谔方程中铀附近原子(原子序数Z?=?92)5f电子轨道的本征函数高Z原子中电子的分布 。
通过数值求解薛定谔方程和径向本征函数的托马斯-费米势 , 梅耶发现f轨道开始填充到临界值Z(对于4f为Z?=?59 , 对于5f为Z?=?91或92) , 由于模型的统计性质 , 预计会有几个Z单位的误差 。 在这些临界值下 , 原子停止强烈参与化学反应 。 梅耶的预测证实了费米的说法 , 即铀以外的任何元素在化学上都与已知的稀土元素相似 , 从而预测了超铀行列 。 戈佩特·梅耶后来因发展核壳模型共享了1963年诺贝尔物理学奖 。
6
电子的反常磁矩 , 朱利安·施文格(1949)
文章插图
朱利安·施文格
第二次世界大战期间 , 美国理论物理学家朱利安·施温格(Julian Schwinger)致力于新型雷达和波导技术的研究 , 在这个过程中开发了基于格林函数的方法——一种通过求解一个简单的微分方程(给出格林函数)来求解复杂微分方程的方法 , 然后可以将其集成 , 以给出原始的解决方案 。 在实践中这很复杂 , 通常会让人算的头昏脑涨 , 但是对此施温格很擅长 。
战后 , 施温格将他在格林函数方面的技能应用于当时的前沿物理学 , 量子电动力学(QED)——即电子与光的相互作用 。 在薛定谔和保罗狄拉克的工作之后 , 理论家现在需要包括量子、相对论电子和光子场的自相互作用 , 以获得它们行为的细节 。 但是计算给出了可测量的物理量(例如质量和电荷)具有可怕的无限性 。 施温格是第一个利用格林函数破解一部分数学雷区的人 , 在1947年的一篇论文中 , 他给出了所谓电子磁矩一阶辐射修正的结果 。 他的完整理论在1949年的一篇论文中达到了顶峰 , 密集的方程预测一阶修正为:
其中α是精细结构常数(≈1/137) , μ是电子的经典磁矩 。 实验很快证实了这一点 , 今天分数α/2π被刻在施温格的墓碑上 。
量子电动力学(QED)是科学上最精确的理论 , 它对电子δμ的五阶预测现已通过实验验证了1013中的三个部分 , 它的建立对于理解激光、量子计算和穆斯堡尔光谱学具有重要意义 , 是基本粒子物理标准模型的原型 。 理查德·费曼称量子电动力学为“物理学的宝石” 。
7
碳12中的7.65?MeV能级 , 弗雷德·霍伊尔(1953)
文章插图
弗雷德·霍伊尔
20世纪30年代 , 汉斯·贝特(Hans Bethe)等科学家已经证实 , 恒星的能量来源于原子核的聚变 , 即质子(氢离子)与氦核(α粒子)的聚变 , 然后成对的原子核与铍-8(8Be)的聚变 。 除此之外 , 科学家们还发现氮、氧和其他原子核是由碳-12(12C)形成的 。 然而 , 没有人知道12C是如何从不稳定的8Be核中产生的 。 元素是如何从恒星内部燃烧或大爆炸后产生的 , 其完整过程是个谜 , 然而12C就在我们周围 。
【西蒙·丹尼斯·泊松|物理学史上的十大里程碑式的预言】虽然高度不稳定的8Be核会很快衰变回两个α粒子 , 但三个α粒子结合形成12C的计算似乎被排除在外 , 因为反应的概率太低 , 无法解释宇宙中的碳元素数量 。 然而 , 霍伊尔大胆地预测了12C的新能级 , 在基态以上7.65兆电子伏 。 这种被称为“霍伊尔态”的12C激发态 , 正好是8Be与α粒子反应形成的共振 。 虽然霍伊尔态几乎总是衰变回三个α粒子 , 但平均每2421.3次衰变一次 , 它就会变成12C的基态 , 以伽马射线的形式释放出额外的能量 。 然后12C原子要么保持原样 , 要么与α粒子融合生成氧 , 依此类推 。 当恒星在超新星中爆炸时 , 碳原子和其他原子核冷却成原子并充满宇宙 。
几个月后 , 由沃德·瓦林领导的加州理工学院的一个实验小组通过对氮-14衰变产生的α粒子光谱进行磁性分析 , 发现这样一个12C的状态为7.68±?0.03?MeV , 从而证明霍伊尔正确地预言了宇宙中最重要元素之一的起源 。
08
弱相互作用中的宇称破坏 , 李政道和杨振宁(1957)
文章插图
李政道和杨振宁
宇称守恒是一种观点 , 认为无论在镜子内外 , 世界的外观和行为都是一样的 , 这种观点在20世纪50年代已经在电磁和强相互作用中得到了牢固的确立 。 几乎所有的物理学家都认为弱力也是一样的 。 然而 , 如果宇称守恒是真的 , 一些被称为kaons的粒子衰变就不能用现有的理论来解释 。 因此 , 华裔理论物理学家李政道和杨振宁决定更仔细地研究弱相互作用物理已知结果中宇称守恒的实验证据 。 令人惊讶的是 , 他们什么也没找到 。
文章插图
为了验证李政道和杨振宁的理论 , 吴健雄研究了钴-60核的β射线发射 。 首次发现电子发射相对于粒子的自旋向下集中 。 当磁场B被反转以改变自旋方向 , 而不是看到发射的镜像(a) , 他们发现有更多的电子向上移动(B) , 从而证明弱相互作用的宇称破坏 。
结果 , 两人提出了一个理论 , 即弱相互作用破坏了左右对称性 。 他们与实验家吴健雄合作 , 设计了几个实验来观察通过弱力进行的不同粒子衰变 。 吴健雄很快开始着手设计实验 , 通过测试钴-60中β衰变的性质 , 她观察到一种不对称性 , 这表明奇偶性被破坏 , 因此证实了李和杨的预测 。
李政道和杨振宁在他们的论文发表后仅仅12个月就因为他们的预测获得了1957年的诺贝尔物理学奖 , 这是历史上最快的诺贝尔奖之一 。 不过 , 尽管证实了这一理论 , 但吴健雄没有分享诺贝尔奖 , 随着时间的推移 , 这一疏忽只会引起更多争议 。
9
约瑟夫森效应 , 布莱恩·约瑟夫森(1962)
文章插图
布莱恩·约瑟夫森
1977年诺贝尔物理学奖得主菲利普·安德森(Phillip Anderson)曾回忆起在剑桥大学研究生时教布赖恩·约瑟夫森(Brian Josephson)的经历:“我可以向你保证 , 这对一位讲师来说是一次令人不安的经历 , 因为一切都必须是正确的 , 否则他会在课后上来让我解释 。 ”
但由于这种关系 , 约瑟夫森很快向安德森展示了他所做的关于两个超导体的计算 , 这两个超导体被一层薄薄的绝缘层或一小块非超导金属隔开 。 他预测由成对电子(库珀对)组成的“直流超电流”可以通过势垒从一个超导体到另一个超导体的量子隧道 , 这是宏观量子效应的一个例子 。
约瑟夫森计算出这种结的电流和相位变化率的形式为:
式中 , J1是绝缘接头的参数 , 称为临界电流 , 因此J是无耗散电流 。 Φ是势垒两侧库珀对波函数之间的相位差 , e是电子上的电荷 , V是超导体之间的电位差 。
9个月后 , 贝尔电话实验室(现为诺基亚贝尔实验室)的安德森和约翰·罗威尔发表了关于直流隧道电流的实验观察报告 , 约瑟夫森的这一预测将获得1973年诺贝尔奖 。 约瑟夫森结现在被用于各种各样的应用 , 比如直流和交流电子电路 , 以及制造超导量子干涉器件(SQUIDs)——这项技术可以用作极为灵敏的磁强计和伏特计 , 也可以用作量子计算的量子位等等 。
10
暗物质 , 维拉·鲁宾与W·肯特·福特(1970)
文章插图
维拉·鲁宾
美国天文学家维拉·鲁宾曾对一位采访者说:“伟大的天文学家对我们说 , 这没有任何意义 。 ”
她说的是她和肯特·福特1970年观察到的在仙女座星系中运行的外星都是以同样的速度运行的 。 他们被告知要观察更多的螺旋星系;这种影响持续存在 。 星系的自转曲线(星系内可见恒星的轨道速度与它们到星系中心的径向距离的曲线图)是“平坦的” , 这似乎与开普勒定律相矛盾 。 更令人担忧的是 , 星系外缘附近的恒星运行速度如此之快 , 它们应该会分崩离析 。
文章插图
螺旋星系
维拉·鲁宾和W·肯特·福特观察到旋涡星系中的外恒星(如NGC1232)以同样的速度运行 , 这一现象使得他们预测了暗物质的存在 。 (由ESO提供)
鲁宾领导的团队中 , 福特公司制造了新的观测仪器 , 特别是一种基于电子光电倍增管的先进光谱仪 , 这种光谱仪可以将他们精确的天文观测数据以数字形式捕捉下来进行分析 。
鲁宾和福特的观察结果使他们预测 , 星系内部有某种物质导致了这种异常运动 , 他们的望远镜无法看到这种物质 , 但其数量大约是目前发光物质数量的六倍 。 1933年瑞士天文学家弗里茨·兹维基对彗发星系团进行了一项具有启发性的研究后 , 首次被称为“失踪质量” , 鲁宾和福特为我们今天所说的“暗物质”提供了第一个有力的证据 , 因为它甚至不发射光子 。 利用标准ΛCDM宇宙学模型计算了宇宙微波背景下的温度起伏 , 结果表明:宇宙总质量和能量中约有5%是普通物质和能量 , 27%是暗物质 , 暗能量占68% 。 尽管宇宙中85%的物质是不发光的 , 但对今天的科学界来说 , 这仍然是一个谜 , 需要更多的实验来确定 。
文章插图
参考文献:
https://physicsworld.com/a/the-10-greatest-predictions-in-physics/
文章插图
推荐阅读
- 月季|似牡丹似芍药似菊花,这个系列的月季太特别了吧!
- 尼斯湖水怪|今年尼斯湖水怪第四次官方目击,出现1分41秒,有两个黑色驼峰
- 威尼斯|“水城”威尼斯竟然没水了!?又是天气的锅吗?
- 丹棱县|四川丹棱一辅警辞职回乡,三年成为“果王”,年入百万如何炼成?
- 偏头痛|4位科学家因“偏头痛”研究获得丹麦“大脑奖”,奖金高达1000万
- 丹尼尔·基什|盲人怎样能像蝙蝠一样“看”?
- 麝香保心丸|患有冠心病,麝香保心丸、速效救心丸、复方丹参滴丸,哪一个更好
- 醋蛋|辟谣特工队丨醋蛋“包治百病”?灵丹妙药还是虚假宣传?
- 全球六款奢侈零食,因价格被录入吉尼斯,看完毫无波澜,反正吃不
- 威尼斯|干旱来袭!水城威尼斯变成臭水沟,网友:说好的全球变暖是骗子?
