文章插图
拉莫尔(英国物理学家和数学家 , 在对电 , 动力学 , 热力学和物质电子理论的理解方面进行了创新)对最小作用原理有一种强烈的、近乎神秘的忠诚……对他来说 , 这是终极的自然原则——宇宙的主要动力 。 ——阿瑟·爱丁顿
两个粒子具有质量M?和M? , 在半径为R的环形上无摩擦滑动 。 两个质点通过弹簧上的圆弧A连接起来 , 圆弧A的弹簧系数是k? , 自然长度是a? ;圆弧B的弹簧系数是k? , 自然长度是a? 。 弹簧平放在桌子上 。
文章插图
假设要求我们找出质点的运动方程 。 原则上 , 牛顿的运动定律足以解决这个问题 。 但在实践中 , 用牛顿定律为一个复杂的系统寻找运动方程是困难的 。 即使这个问题与现实世界中机械系统的复杂性相比也显得微不足道 。
当我们发现一个问题太难时 , 一个好的处理方法是尝试改变我们对这个问题的看法 。 但我们应该采用什么样的新视角呢?
我们从光学研究中得到了一个令人惊讶的答案 。
费马最短时间原理
反射光的基本定律自古以来就已为人所知 。 当一束光入射到反射面上时 , 入射角等于反射角:
文章插图
亚历山大港的希罗(希腊数学家和工程师)能够从这个事实证明光线所走的路径是它从源头、镜子到目的地的最短路径 。 也就是说 , 给定点A和C , 光线在点B从镜子上反射 , 使得路径的长度最小 。
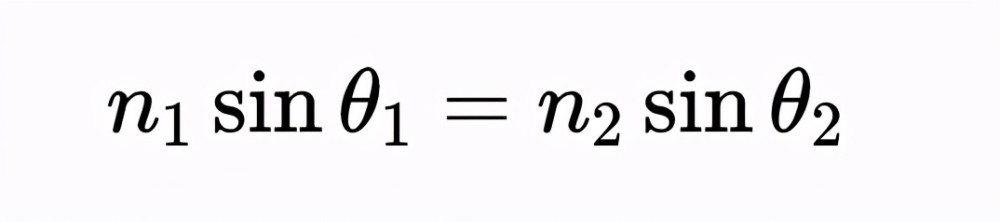
古人无法解决的是折射的问题 。 当一束光入射到分离两种不同物质(典型的例子是空气和水)的表面时 , 光线会发生弯曲 。
文章插图
离开A点的一束光 , 到达B点的水面 , 最终到达C点 , 并不是走A点和C点之间最短的路径 。
有关入射角和折射的定律被称为斯涅尔定律 , 以威勒博德·斯涅利乌斯(1580-1626)命名 , 尽管它最早是由伊本·萨尔在公元984年发现的 。 它指出:
文章插图
其中n是每种介质的折射率 。 这一定律是实验发现的 , 缺乏理论论证 。 皮埃尔·德·费马(1607-1665)提出了一个证明 。 费马扩展了古希腊人的发现(即反射光在两点之间的路径最短) , 取而代之的是光选择了两点之间最短时间的路径 。 从这个公设 , 他可以推导出斯涅尔定律 。 这是中级物理教科书中常见的练习 , 我可能会在一篇简短的后续文章中讨论它 。
费马原理被认为是历史上第一个重要物理思想的例子 , 自然界将设法以这样一种方式进行物理过程 , 以尽量减少这一过程所需要的一些重要的量 。 当然 , 这里没有任何超自然现象发生 , 这个观点在19世纪就有了坚实的科学基础 。 在本文的剩余部分 , 我们将通过拉格朗日形式主义理论来探讨这一观点 。
约束条件 , 广义坐标和构型空间
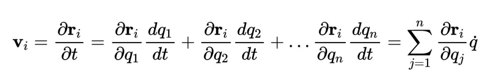
我们总是可以用笛卡尔坐标(x,y,z)来表示系统的状态 , 但根据问题的不同 , 我们可以选择更有用的变量 。 我们甚至可以减少我们需要考虑的变量的数量 。 例如 , 球面上的点P可以完全用极角和方位角(θ , φ)来表示 , 如下图所示:
文章插图
任意变量q? , q? ,… , q?被称为广义坐标 。 广义上说 , 它们可以是我们想要的任何东西 , 只要它们完全指定了系统的状态而且它们之间没有任何函数依赖性 。 广义坐标的时间导数称为广义速度 。 知道应该使用哪些变量是一种直觉技能 , 只有通过实践才能学会 。
当我们选择了广义坐标 , 我们就可以把系统在任意时刻的状态表示为构型空间中的一点 。 随着时间的推移 , 系统在构型空间中跟踪的路径称为轨迹 。
文章插图
一个机械系统随时间的演化的问题 , 可以通过看系统在构型空间遵循哪个轨迹来解决 。
插曲:泛函
假设一束光在点A和点B之间沿(x,f(x))给定的平面内路径传播:
文章插图
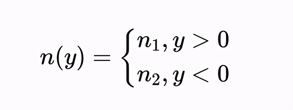
设v(x)为光速与x的函数 , 在折射率为n的介质中 , v=c/n 。 在这个问题中 , n是y的函数 , 有:
文章插图
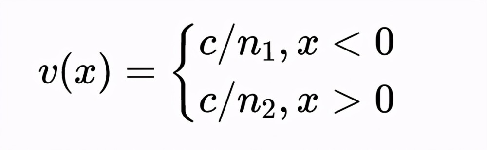
当x坐标为正时 , 路径的y坐标为负 , 所以我们可以这样写:
文章插图
我们不关心边界上发生了什么
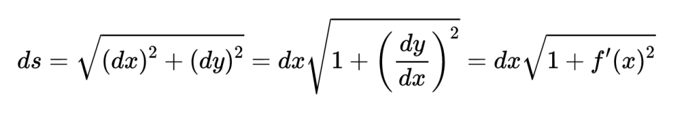
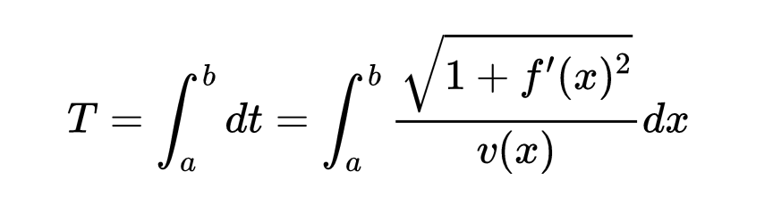
曲线(x,y=f(x))的微分元素的长度为:
文章插图
通过速度v=ds/dt的定义 , 我们可以将射线的总传播时间表示为积分:
文章插图
这个定积分取函数f(x) , 返回一个数字T , 在某种意义上 , 它是一个取函数的函数而不是作为输入的变量 。 这样的对象被称为函数 。 我们可以将费马最短时间原理解释为路径(x,f(x))具有f(x) , 使得时间函数T[f(x)]具有最小值 。
正如我们可以定义函数f(x)对变量x的导数为:
文章插图
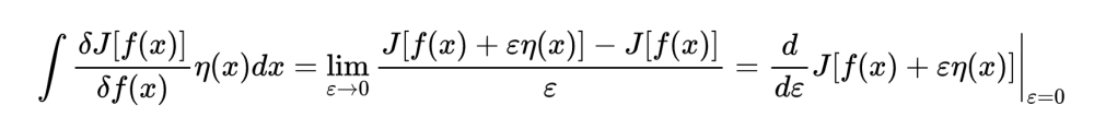
我们可以定义泛函δJ[f(x)]/δf(x)的泛函导数 , 得到当f(x)被f(x)+η(x)代替时J的变化率 , 关系式为:
文章插图
函数η称为f(x)的变分 , f(x)是一个在积分域边界上消失的任意函数 。 在本文中 , 我们将对以下形式的函数感兴趣:
文章插图
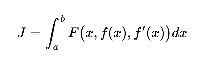
这里 , F是由x, F (x)和F ' (x)组成的函数 。 我们用定义来求J的函数导数 。
文章插图
第三行是链式法则 。 第5行是因为f =f (ε=0) , 第6行是对第5部分被积函数的第二项进行分部积分的结果 。 由于η在a和b处消失 , 这意味着通过消去积分 , 我们得到:
文章插图
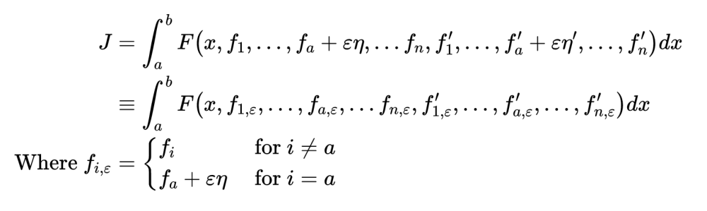
如果J是f(x)以外的多个函数的函数 , 只要只有f(x)是变化的 , 这也适用 。 为什么?让f(x) = (f?(x), f?(x), …, f?(x)), 只f?有所不同 。 那么J的形式如下:
文章插图
所以只有f?在第(3)行的链式法则中存在 。
轨道的泛函
令q(t)=(q? , q? , … , q?)为构型空间轨迹的位置向量 。 为了从函数的角度分析轨迹 , 我们需要提出一些依赖于整个系统状态的泛函 。
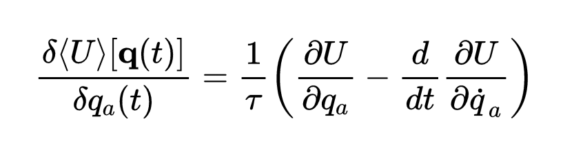
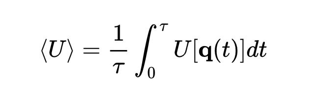
势能函数 , 依赖于整个状态 , 如果我们假设系统是保守的 , 那么U就不依赖于广义速度 。 我们可以用一个简单的函数来表示轨迹上U的平均值:
文章插图
泛函?U?具有适用于上一节结果的正确形式 , 因此:
文章插图
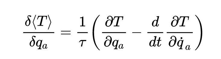
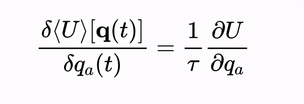
由于U不依赖于速度 , 最右边的偏导数消失了(我们稍后会用到这个形式) , 我们可以写成:
文章插图
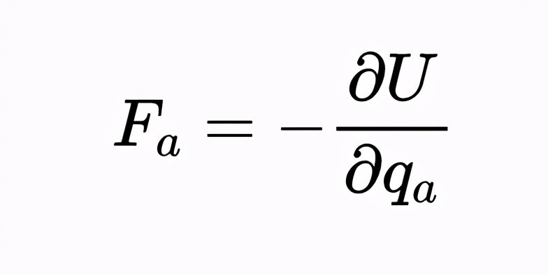
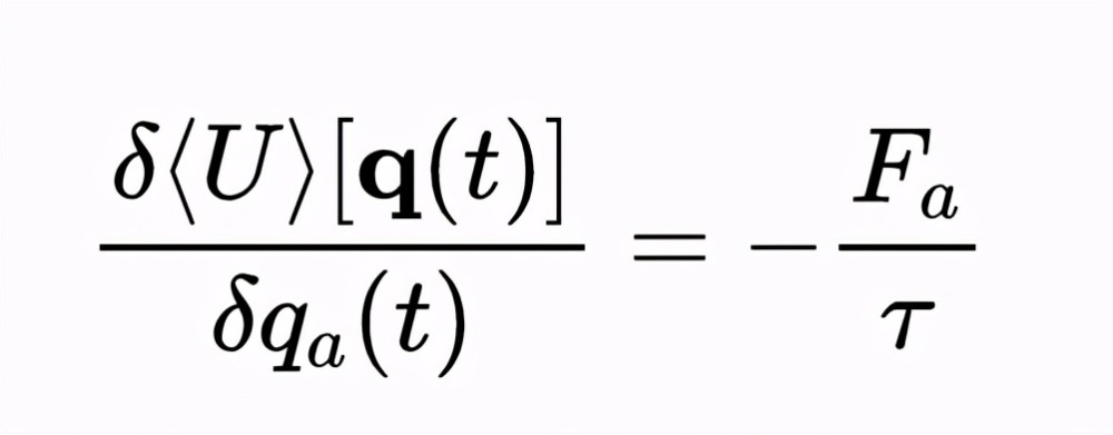
由于我们处理的是保守系统 , 我们可以自由地定义广义力:
文章插图
因此
文章插图
泛函?T?也具有上一节公式的正确形式来应用:
文章插图
现在我们有了一个函数导数的一种可行形式 , 我们可以进入实际的物理 。
拉格朗日方程
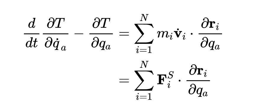
保守系统可以说是通过动能和势能的交换而随着时间而演化的 。 这是因为一个保守力作用于系统 , 将其势能转化为动能 , 反之亦然 。
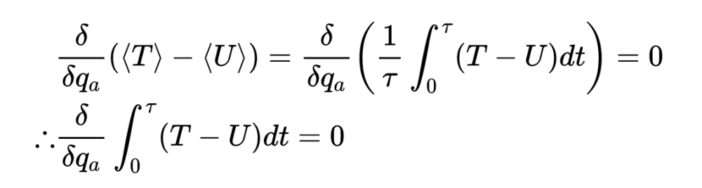
假设沿着轨迹 , 平均势能为?U? , 轨迹变化一次后 , 平均势能变为?U?+?U 。 因此 , 轨迹的变化产生了一些额外的能量来贡献系统的平均动能 。 我们可以猜测平均动能的变化量等于平均势能的变化量 。 现在我们将证明 , 当任何坐标q?变为q?+δq?时 , 情况就是这样:
文章插图
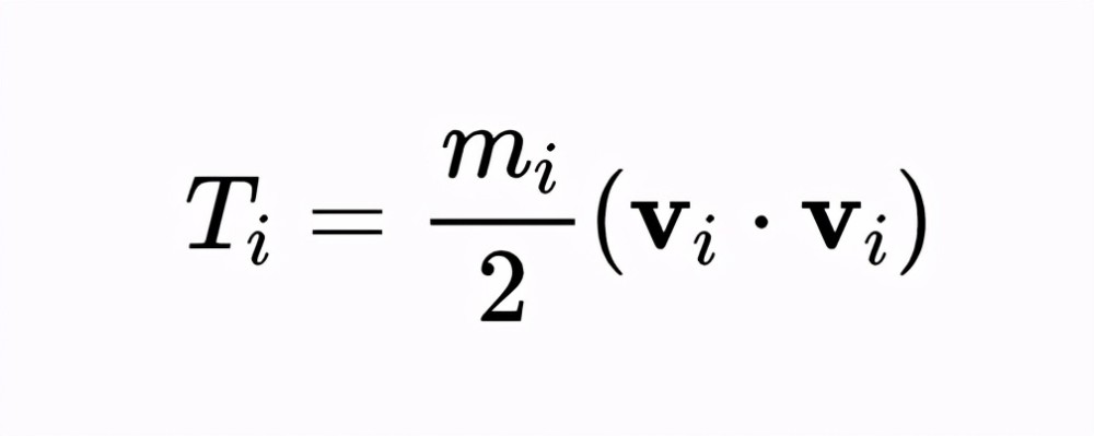
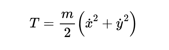
如果系统由N个粒子组成 , 则第i个粒子的动能为:
文章插图
对点积的导数应用乘积法则 , 我们得到:
文章插图
根据链式法则:
文章插图
所以:
文章插图
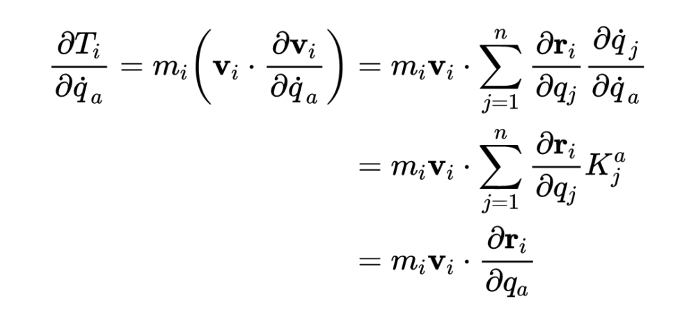
现在我们考虑T对广义速度的导数 。 按照上述推理:
文章插图
该量的时间导数为:
文章插图
通过对所有N个粒子求和 , 我们发现:
文章插图
上标S的F表示作用在第i个粒子上的牛顿力是广义坐标的函数 。 现在我来完成这个证明 , 证明这个和等于广义力F? 。
设A、B为构型空间中的两个“位置” , 它们由一条平行于q?轴的直线相连 。 对于两个自由度的情况 , 这看起来像:
文章插图
这个量从A到B的线积分是:
文章插图
右边的线积分是第i个粒子q?从A到B的位置向量所经过的每条路径C_i上的线积分 , 根据定义 , 这是系统A和B之间的势能差的负值:
文章插图
中间等式是由微积分基本定理提出的 。
因此:
文章插图
这让我们完成了证明:
文章插图
这意味着 , 对于真实轨迹的变化 , 我们有:
文章插图
这个积分叫做作用泛函 。 我们所做的就是证明哈密顿最小作用量原理 , 即机械系统在构型空间中的运动轨迹是使作用泛函最小的轨迹 。
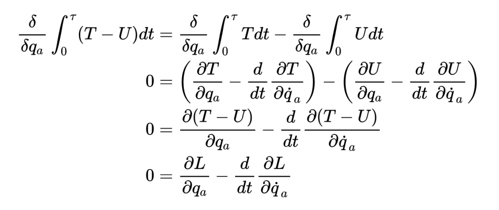
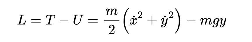
函数L=T-U非常重要 , 它有自己的名字 , 被称为拉格朗日方程 。 我们得到欧拉-拉格朗日方程:
文章插图
欧拉-拉格朗日方程给出了每个q?的运动方程 。 对于很多重要的机械系统来说 , 一旦你有了拉格朗日方程 , 找到运动方程就很简单了 。 我们可以说 , 关于标准系统状态随时间演化的所有信息都包含在拉格朗日量中 。
什么时候拉格朗日方法有效?
许多重要的力学问题涉及沿固定表面或路径的运动 。 例如 , 如果一个质点在球面上移动 , 那么它的位置坐标(x,y,z)满足x2+y2+z2-R2=0 。 可以用f(x,y,z)=0的形式表示的约束称为几何约束 。
我们也可以有一个运动约束 。 正如几何约束限制了粒子的位置一样 , 运动约束限制了粒子的速度 。 例如 , 如果我们说一个粒子的速度完全在x方向上 , 那么这是一个运动学约束 , 速度的y和z分量为零 。 积分之后 , 这个运动约束变成了一个几何约束 , 它表示位置的y和z分量是常数 。 当这是可能的 , 我们说运动约束是可积的 。
拉格朗日方程只适用于只有几何和可积运动学约束的系统 。 我们称这样的系统为完整系统 。 一类重要的非完整约束的例子是:例如 , 如果一个球在桌子上 , 并被一根长度为l的绳子拴在原点上 , 那么约束是x2+y2≤l2 。
拉格朗日力学对于保守力总是有效的 。 有时它可以扩展到非保守力 , 但这并不总是一个好方法 。 虽然这听起来像是一个弱点 , 但事实证明 , 保守的完整系统是非常庞大的 , 包含了人们可能会遇到的大多数有趣的问题 。
说了这么多 , 我们来看一些例子看看拉格朗日形式主义的实际应用 。
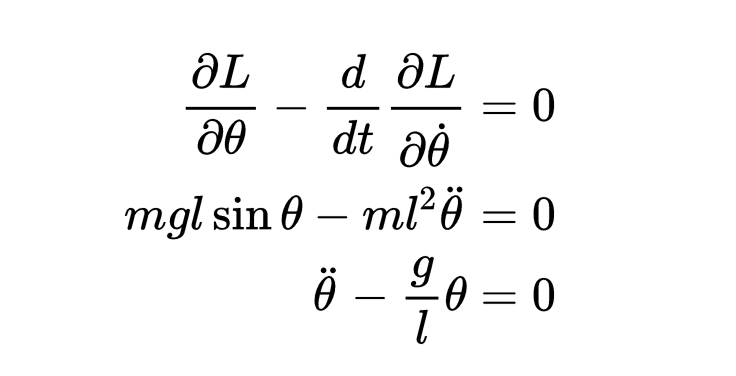
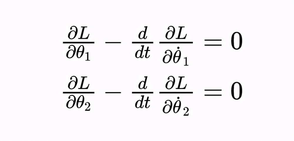
一个钟摆
一个质量m附着在一个长度为l的刚性轻棒的末端 , 并产生小角度的振荡 。
文章插图
当运动是二维的时候 , 运动完全可以用角θ来表示 。 从笛卡尔坐标开始 , 然后进行转换通常是个好方法 。 动能为:
文章插图
重力势U=mgy 。 因此:
文章插图
然后我们用x=lsinθ ,y = lcosθ来求广义坐标θ下的L , 用链式法则计算x导和y导:
文章插图
那么θ的拉格朗日运动方程为:
文章插图
Sinθ≈θ对于小θ
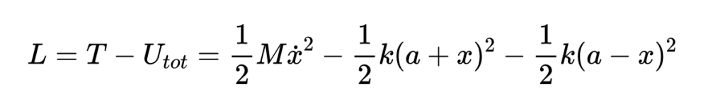
两个弹簧之间的物体
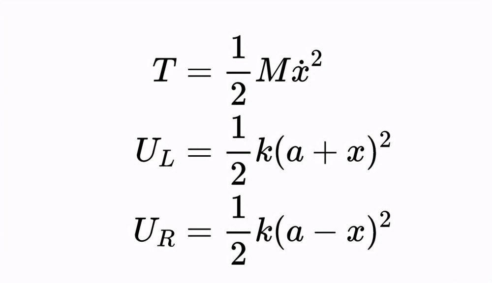
质量为M的物体在一个方向上来回运动 。 木块附着在两个相同的弹簧上 , 弹簧常数为k , 自然长度为a 。 弹簧固定在墙上 , x=±a 。
文章插图
将物体视为质点 。
当x为正时 , 左侧弹簧被拉伸 , 当x为负时 , 左侧弹簧被压缩 , 所以左侧弹簧的长度是a+x 。 当x为负时 , 右边的弹簧被拉伸 , 当x为正时 , 右边的弹簧被压缩 , 所以它的长度是a-x 。 因此动能和势能为:
文章插图
所以拉格朗日量是:
文章插图
现在我们把它代入x的欧拉-拉格朗日方程:
文章插图
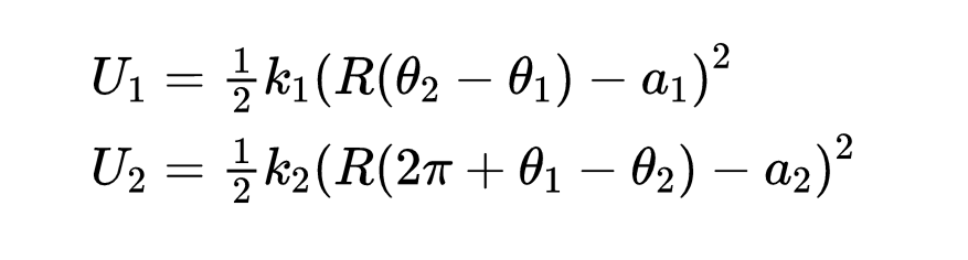
弹簧上的两个质点
我们现在终于准备好解决开头一段提出的问题了 。
文章插图
让U?和U?分别成为小弧A和大弧B上的弹性势能 。 A和B的弧长分别为(θ?-θ?)R和(2π+θ?-θ?)R 。 所以两个弹簧的势能是:
文章插图
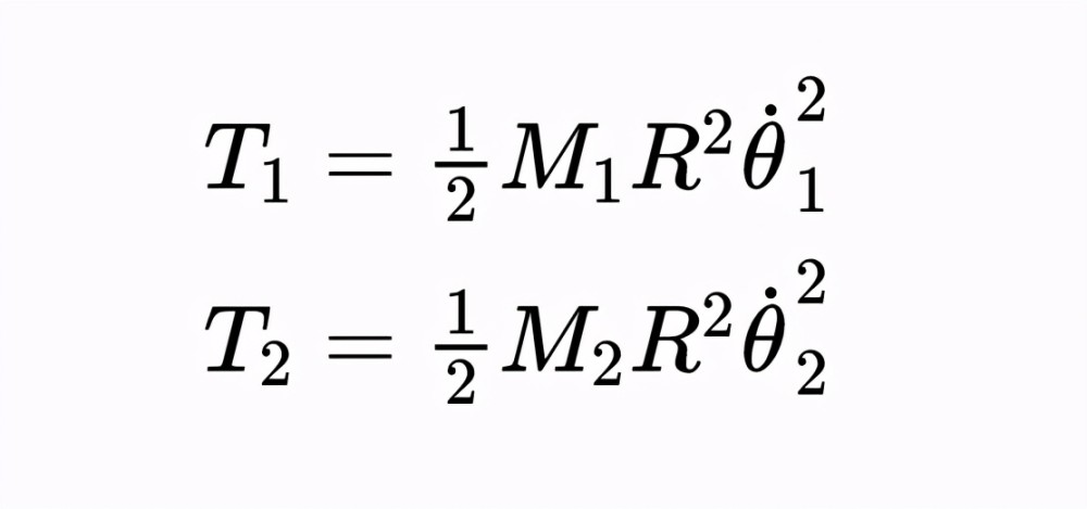
质量为m , 角速度为ω的质点在原点固定距离R处旋转时 , 其动能为?mR2ω2 , 因此动能为:
文章插图
由于L=T-U , 拉格朗日量为:
为了找到运动方程 , 我们只需要把它代入θ?和θ?的欧拉-拉格朗日方程:
文章插图
所以运动方程是:
文章插图
用拉格朗日法得到这些方程要比用牛顿定律容易得多 。
结论:这一切意味着什么?
我们到底做了什么 , 为什么要这么麻烦?
重要的是要知道我们并没有引入任何新的物理理论 。 所有关于力、能量等的基本物理学和规则都保持不变 。 我们改变的是我们的观点 。 我们采用了这些规则 , 并以不同的方式看待它们 , 因此我们对这些规则有了新的理解 , 以及我们可以利用这些规则做什么 。
至于我们为什么要这么麻烦 , 最直接的答案是我们想要一个比牛顿定律更简单的方法来分析某些物理系统 。 但这不是唯一的原因 。 牛顿定律原则上可以解决经典力学中的任何问题 , 但对于分析经典场来说 , 它是极其笨拙的 , 而在量子物理中则是毫无意义的 。 另一方面 , 拉格朗日方程 , 以及更普遍的哈密顿原理 , 可以适用于量子物理 。 我们将在下一篇文章中看到如何做到这一点 。
【拉格朗日方程|拉格朗日方程与哈密顿原理,终极的自然原则,宇宙的主要动力】想了解更多精彩内容 , 快来关注老胡说科学
推荐阅读
- 扇贝最好吃的做法,适合冬日里吃,做法简单好吃不腻,家人超爱吃
- 液态金属|脑科学日报:开发用于活体神经记录的可拉伸液态金属电极阵列
- 杨振宁|清华大学:“物理学家杨振宁近日逝世”系谣言,先生身体健康
- 今日春分,别忘记给家人吃这菜,外脆里软,吃着特别香
- 李勇年|全国爱肝日 西安大兴医院李勇年详解护肝那些事儿
- 丙肝|全国爱肝日丨乙肝可控制,丙肝可治愈,有高危行为人群应主动筛查
- 地球|发生了什么?日美专家透露不好消息,地球或不再适合人类居住
- 节假日给家人做几道家常菜,经典美味,好吃不腻,营养健康
- 约阿希姆·弗兰克|每日金句|约阿希姆·弗兰克
- 溃疡性大肠炎|JMT日本疑难病治疗-溃疡性大肠炎通过适当治疗可以恢复到健康人状态
