文/凭栏眺【此篇为文章回顾 , 首发于2019年9月12日】
锂离子电池正极的高电势 , 负极的低电势使得锂离子电池具有了其他种类电池所不具备的高电压特性 , 这也使得锂离子电池的能量密度远高于其他种类电池 , 但是这也导致了电解液在正负极的稳定性降低 , 更容易在正负极界面发生分解 , 而产气则是电解液分解常见的后果 。
俄罗斯唐州工业大学的N.Е. Galushkin(第一作者 , 通讯作者)等人对NCM111/石墨体系锂离子电池循环过程中不同种类的气体的产生机理进行了分析 。
作者为了能够区分正极和负极产生的不同气体 , 作者制作了一个具有双腔室的锂离子电池 , 正极、负极分别位于其中的一个腔室 , 中间采用具有导通Li+功能的玻璃隔开 。 电池在循环过程中产生的气体种类则通过在线电化学质谱仪进行测量 。
文章插图
实验中正极采用了来自巴斯夫生产的NCM111材料 , 负极石墨则来自于特密高公司的SLP30石墨 , 实验中电解液则采用了1.5MLiPF6的EC溶液 , 虽然常温下纯EC溶剂为固态 , 但是在添加LiPF6后熔点降低 , 因此溶液在室温下也能够保持液态 。
作者首先对上述电池在2.6-4.2V之间进行了四次循环(如下图所示) , 从图中能够看到我们能够看到从开始充电到电压达到4.0V这一范围内 , 负极一侧的乙烯(C2H4)浓度出现了快速的增长 , 达到了10umol/m2 , 这主要是在负极成膜的过程中 , 电解液中的EC溶剂在负极表面发生分解导致的 , 涉及的反应如下式所示 。 在电池电压达到4.0V以后 , C2H4气体浓度的上升速度要明显变慢 , 这表明SEI膜的成膜过程基本结束 , 但是实际上在后续的过程中C2H4气体的浓度还会缓慢的上升 , 表明SEI仍然在缓慢的生长 。
H2的浓度在开始充电到电压达到4.0V这一范围内增长较快 , 通常我们认为这一范围内产生的H2主要来自于电解液中残留的水分 。 在这一范围内电池内产生的H2浓度达到了2.4umol/m2 , 根据H2O分解的反应式可以计算得到电解液中的残余水分的浓度在20.1ppm左右 , 这与电解液水分测量结果是一致的 , 也证实了上述观点的正确性 。
接下来我们关注一下CO2浓度的变化 , 从下图中我们能够观察到CO2气体在电池电压达到4.0V之前浓度很低 , 在电池达到4.0V以后开始增加 , 一般我们认为在这一电压范围内产生的CO2主要来自于正极表面Li2CO3的分解(如下式所示) 。 但是这无法反映在循环过程中的CO2持续产生的现象 , 同时实验中我们也从未观测到O2的产生 , 因此这一反应机理无法完整的反应CO2气体的产生机理 。
实际上作者认为上述反应过程中产生的氧并非以O2分子存在 , 而是首先以原子氧的形式存在 , 然后原子氧直接与电解液在正极表面分解产生的CO反应生成CO2气体 。 因此实际上Li2CO3在正极表面上的分解实际过程如如下式所示 。
根据上式我们可以计算CO2气体的数量 , 在前面观测到C2H4气体在电池循环过程中的生成速度为0.075 umol/m2h , 因此在整个10小时的充放电过程中产生的Li2CO3数量为0.75 umol/m2 , 而此过程产生的Li2CO3会溶解在电解液之中 , 迁移到正极表面发生氧化 , 因此产生的CO2数量为1.6 umol/m2 , 这与实验中的第二、三和四次循环中电池产生的气体数量是吻合的 。 但是在第一次循环中产生的CO2却要高于这一数值 , 达到了2.4 umol/m2 。
针对在首次充电的过程中CO2含量异常的情况作者认为可能是在负极表面由于电解液分解产生的CO气体在Li2CO3等成分的催化下与电解液中残余的水分发生反应生成了一部分CO2(反应式如下所示) 。
电池内产生的CO2气体在负极富Li环境下还会发生还原 , 生成Li2CO3 , 成为SEI膜的一部分 。
而负极表面的LiOH也同样会吸收电池中CO2气体 , 转变为Li2CO3 。
文章插图
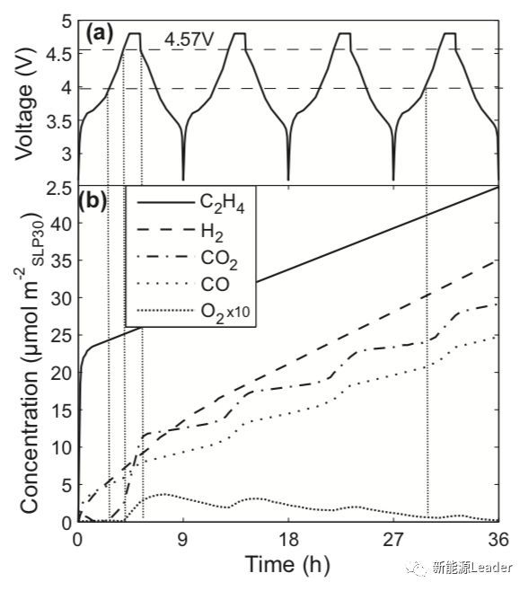
接下来作者考察了充电截止电压对于锂离子电池产气的影响 , 作者将上述电池在2.6-4.8V之间进行了循环(结果如下图所示) , 从图中我们能够看到C2H4气体的浓度几乎没有受到提高充电截止电压的影响 , 这主要是因为C2H4气体主要来自于电解液在负极的分解 , 因此主要受到负极的影响 , 因此受正极电位的影响比较小 。
C2H4气体生成过程中还会在SEI膜中生成Li2CO3 , 而这部分Li2CO3还会继续溶解在电解液之中 , 迁移到正极表面氧化成为CO2 , 而随着Li2CO3的消耗电解液则会继续在负极表面分解 , 因此我们能够观察到C2H4气体在后续的过程中缓慢的上升 , 而这一上升速度主要受到Li2CO3溶解速度的影响 , 因此不受最高截止电压的影响 。
H2气体的产生速度在电池充电到4.0V前与前面实验基本一致 , 这主要是电解液中的残余水分分解的过程 , 但是在随后的充电的过程中H2的产生量明显增多 , 达到了26.2umol/m2 , 比充电到4.2V时多2.5倍 。
CO2气体浓度的变化则非常有趣 , 在充电到4.57V之前CO2浓度缓慢的升高 , 但是在电池电压达到4.57V以上时CO2气体的浓度开始快速升高 , 这表明在这两个阶段CO2气体的产生机理是不同的 。 作者认为在4.0-4.57V这一阶段内CO2产生的机理与充电到4.2V时基本相同 , 主要来自于Li2CO3的氧化分解 , 气体的产生速度则主要受到负极Li2CO3的溶解速度的影响 。
在电池电压达到4.57V以上时我们注意到CO2气体的产生速率大大提高 , 同时我们还能够注意到在这一电压范围内开始出现O2 , 这表明在电池充电到4.57V以上时NCM材料的表面开始释放原子氧 , 强氧化性的原子氧会导致电解液的氧化分解 , 产生CO2和CO 。
【锂离子电池|三元NCM锂离子电池循环过程中产气机理】O2的变化则比较有趣 , 从下图中我们能够看到O2的浓度升高是跳跃式的 , 每次O2浓度升高后 , O2浓度则又开始下降 。 对于O2浓度下降的机理 , 作者认为是产生的O2会吸附在正极表面 , 而这些吸附的O2还会进一步参加到后面的副反应之中 , 从而导致O2浓度的下降 。
文章插图
锂离子电池产气主要来自副反应 , 因此除了充电截止电压可能会对锂离子电池的产气行为产生影响外 , 环境温度也会显著的影响副反应的速度 , 因此也会对电池的产气产生显著的影响 。 因此作者将电池在60℃ , 2.6-4.8V之间进行了循环(测试结果如下图所示) , 从图中能够看到从开始充电到电池电压升高到3.65V这一区间 , 电池内C2H4气体的浓度急剧升高 , 最高浓度达到了23.5umol/m2 , 是常温下的2.3倍 , 同时在后续的循环过程中C2H4气体浓度的升高速度也达到了0.61umol/m2 , 是常温下的8.2倍 , 这主要是电解液在高温条件下更容易在负极表面发生分解 。
同样的我们也同样观察到了H2浓度的快速升高 , 从开始充电到电池电压达到4.0V , H2的浓度升高到了5.5umol/m2 , 是常温下的2.2倍 , 在后续的循环中电池产生的H2数量为35.0umol/m2 , 是常温下的1.3倍 , 这表明在高温下电池中的H2除了来自于电解液中残余水分的分解外 , 还有电解液的分解 。
我们再来看一下CO2气体浓度的变化 , 从图中我们能够看到在4.0-4.57V之间电池中CO2气体的产生数量没有太大的变化 , 这主要是因为CO2的产生数量主要受到来自于负极Li2CO3的溶解速度 , 而60℃下Li2CO3的溶解速度与25℃时没有明显的区别 。 在电池电压升高到4.57V以上时电池中产生的CO2气体的数量也几乎与常温下相同 , 这主要是因为此时CO2气体主要来自于NCM材料释放的原子O氧化电解液 , 60℃下NCM材料释放的原子氧并没有显著的增多 , 因此CO2的产生数量也没有显著的增多 。
文章插图
N. Е. Galushkin的研究表明电池中的C2H4气体主要来自于EC溶解在负极表面的分解 , H2主要来自于电解液中残余水分 , 而CO2一方面来自于正极表面的残余的Li2CO3的氧化分解 , 另一方面负极SEI膜中的Li2CO3也会溶解到电解液后扩散正极表面发生氧化分解 , 因此CO2的浓度会持续的增加 。 由于不同气体产生机理不同 , 因此受到充电电压和温度的影响也各不相同 。
本文主要参考以下文献 , 文章仅用于对相关科学作品的介绍和评论 , 以及课堂教学和科学研究 , 不得作为商业用途 。 如有任何版权问题 , 请随时与我们联系 。
Mechanism ofGases Generation during Lithium-Ion Batteries Cycling, Journal ofThe Electrochemical Society, 166(6)A897-A908(2019),N. Е. Galushkin, N. N.Yazvinskaya and D. N. Galushkin
推荐阅读
- 石墨烯产品|中科院教授直言,不能说添加了一点石墨就叫石墨烯电池
- 光伏电池|深度|主流光伏电池效率提升方式与潜力分析
- 三元猪|我们国家的地方品种猪都有哪些优点?
- 食管|食管烧出1个大破洞!女婴误吞钮扣电池 苦撑1个多月不治身亡
- 太阳能电池|山东大学在有机太阳能电池稳定性物理机制研究中取得新进展
- 电池|最高罚500元!今后垃圾这么扔
- 钙钛矿|25.2%!MIT设法提高钙钛矿光伏电池效率 已达理论最高效率八成
- 电池|太阳能电池板与电池:全民发电防断电
- 锂电池|日本研制出100年内无衰减的电池 可用于太空探测器
- 麻省理工学院|MIT教授将病毒用于电池、肿瘤检测,未来计划用病毒驱动汽车
