文章插图
数学家大卫·希尔伯特在1915年11月20日发表了一篇演讲 , 题为《物理学的基础》 。 这次会议是在爱因斯坦的重要论文《引力场方程》和《广义相对论的场方程》)发表前五天举行的 , 该论文为广义相对论建立了数学基础 。 希尔伯特的演讲 , 最终于1916年3月31日发表 , 提出了一个引力理论 , 包括描述引力的基本相互作用的场方程 , 这是时空被质量和能量弯曲的结果 。
自从1905年发表了第一篇关于狭义相对论的论文以来 , 到1915年11月 , 爱因斯坦一直在致力于他的宏大理论 。 然而 , 他花了10年的时间 , 从1905年到1915年 , 来推广这个理论 , 使它将时空曲率与存在的任何物质和辐射的能量和动量联系起来 。 爱因斯坦的场方程(定义广义相对论的微分方程组)描述了这种关系 , 是他史诗般理论中最后缺失的一块 。
文章插图
文章插图
上:爱因斯坦(1915) , 《引力场方程》 。 下:希尔伯特(1916) 。 《物理学基础》 。
大卫·希尔伯特被公认为他那个时代最伟大的数学家之一 。 1915年初 , 当爱因斯坦在哥廷根大学大学发表关于他的引力新理论的演讲时 , 希尔伯特也在场 。 事实上 , 他是邀请爱因斯坦演讲的人 。 在他的演讲中 , 爱因斯坦介绍了他的进展和他在使场方程普遍协变方面遇到的困难(独立于它们的坐标系) 。
到了秋天 , 爱因斯坦还没有取得任何明显的进展 。 然而 , 希尔伯特通过各种途径让人们知道 , 他正在研究自己的引力理论 , 并取得了进展 。 到了11月 , 两人都在疯狂地工作 , 为他们的理论提供正确的方程式 。
1919年爱丁顿的日食观测证实了爱因斯坦的广义相对论 。 从那以后 , 争论就一直在继续 , 谁能在发现这一最深刻的基本真理的基本方程方面享有优先权?谁首先推广了相对论?它的创造者爱因斯坦还是数学大师希尔伯特?
相对论时间轴
相对论的历史可以追溯到牛顿的万有引力:
1687年 , 艾萨克·牛顿出版了《自然哲学的数学原理》 , 其中概述了牛顿的万有引力定律 。
1706年 , 艾萨克·牛顿提出了这样的疑问:物体不会对远处的光产生作用 , 使光线弯曲?
1861-62年 , 詹姆斯·克拉克·麦克斯韦发表了麦克斯韦方程的第一个形式 , 描述了电荷、电流及其场的变化是如何产生电场和磁场的 。
1883年 , 恩斯特·马赫出版了《力学及其演变》 , 他批评了”荒谬的[牛顿的]绝对空间概念” 。
1897年 , 18岁的爱因斯坦在苏黎世理工学院读书时 , 他的朋友米歇尔·贝索向他推荐了马赫的书 。
1904年愚人节 , 在圣路易斯举行的国际艺术与科学大会上 , 数学家亨利·庞加莱宣布有必要修改牛顿的万有引力理论 , 以使其与麦克斯韦、洛伦兹等人后来的发现一致 。
1905年 , 爱因斯坦发表了他的奇异年论文 , 其中包括《关于移动物体的电动力学》 , 狭义相对论首次出现 , 将时间、距离、质量和能量与电结合在一个理论中 , 但省略了引力 。
1907年 , 当爱因斯坦坐在伯尔尼专利局的椅子上时 , 他的大脑中产生了一个非常重要的想法:“对于一个从房顶自由落下的观察者来说 , 至少在他的周围是不存在引力场的” 。 在论文《论相对性原理及其得出的结论》中 , 等价原理诞生了 。 在同一篇论文中 , 爱因斯坦还推导了引力红移 , 并通过推导出沿恒定引力场ξ方向的光速度公式 , 指出“不沿ξ方向运行的光线被引力场弯曲” 。
在1908-11年间 , 爱因斯坦暂时停止了对相对论的研究 , 把注意力集中在量子理论上 , 即光量子和黑体辐射的定义 。 1911年6月 , 爱因斯坦又重新回到了引力的研究 。
1912年6月 , 数学家大卫·希尔伯特将他的注意力从线性积分方程转向数学物理 , 开始公理化新的电子理论 。
1913 , 爱因斯坦 , 与麻省理工学院几何教授马塞尔·格罗斯曼合作 , 发表论文《广义相对论和万有引力理论的大纲》 , 用大家现在熟知的电梯类比来描述等效原理 。
1914年 , 爱因斯坦发表了一篇56页的论文《广义相对论的基础》 , 其中他详述了一年前与格罗斯曼所写的大纲 。 这篇论文详细说明了后来被称为爱因斯坦的引力标量理论 。 爱因斯坦后来表示 , 他不满意这个理论 , 主要有三个原因:第一 , 它的限制协方差不包括均匀旋转;第二 , 水星近日点(行星离恒星最近的点)的岁差(改变方向)达到18角秒 , 而不是观测到的每世纪45角秒;第三 , 他对引力哈密顿函数唯一性的证明实际上是错误的 。
1915年夏天 , 在希尔伯特的邀请下 , 爱因斯坦在哥根廷大学呆了一个星期 , 他在那里做了六个两个小时的演讲 , 之后他跟约翰内斯·德·哈斯宣说 , “令我非常高兴的是 , 我成功地完全说服了希尔伯特和克莱因” 。
1915年秋 , 索默菲尔德告诉爱因斯坦 , 希尔伯特也不满意爱因斯坦1914年出版的标量引力理论 。 希尔伯特此时正在研究他自己的引力理论 , 名为“物理学的基础” 。
1915年11月
因此 , 到1915年11月 , 爱因斯坦和希尔伯特都确信 , 一个普遍的协变相对论确实是必要的 , 是可以实现的 。
爱因斯坦向普鲁士科学院递交了一篇题为《广义相对论》的论文 。 在这篇论文中 , 他第一次公开否定了他1914年提出的“Entwurf”标量引力理论 , 提出了一个新的基本方程 。 关于前一年的标量理论 , 他声明:
我对自己推导出来的场方程失去了信任 , 转而寻找一种以自然的方式限制可能性的方法 。 在这一追求中 , 我达到了通用协方差的要求 , 三年前 , 当我与我的朋友格罗斯曼一起工作时 , 尽管心情沉重 , 我还是与之分开了 。 ——爱因斯坦 , 1915年11月初
正如亚伯拉罕·派斯后来的报道所说 , 爱因斯坦缺乏以一般协变形式定义场方程的能力 , 这确实是可以理解的 , 因为爱因斯坦已经远远领先于他的时代 , 探索了派斯恰当地称之为“无人区”的地方 。
然而 , 假设度规张量的行列式是一个常数(-1) , 爱因斯坦的新解仍然不是一般的协变 。 虽然希尔伯特的回信已经遗失 , 但从他们后来的交流和爱因斯坦对理论的进一步修正可以合理地推断 , 希尔伯特实际上对这个解并不“很喜欢” 。
一周后 , 爱因斯坦又和前一周一样 , 以同样的标题与普鲁士科学院联系 , 否定了他最初提出的方程 , 而是提出了一个新的方程 , 很可能是基于希尔伯特的反馈 。 爱因斯坦突然提出了一个普遍协变方程:
文章插图
爱因斯坦11月11日关于里奇曲率张量R的方程 。
然而 , 只有当应力-能量张量T是无迹的 , 即矩阵迹的主对角线上的元素之和为零时 , 这才符合他最终的(正确的)方程 , 这对麦克斯韦的电动力学是正确的 。 就在第二天 , 爱因斯坦给希尔伯特寄去了第二封信 , 宣布他终于找到了满足一般协方差的场方程的正确公式 。
几天后 , 希尔伯特回复了爱因斯坦 , 写了一封长信 。 他指出 , 他自己对自己“解决大问题的公理解决方案”感到兴奋 , 注意到“就我对你的新论文的理解而言 , 你给出的解决方案与我给出的完全不同” 。
11月15日 , 爱因斯坦向希尔伯特索要(希尔伯特)演讲的样稿 。 11月18日 , 希尔伯特送给爱因斯坦他一份研究副本 。 正如托多罗夫所指出的 , 爱因斯坦的论文中有两点需要说明 。 首先 , 爱因斯坦关于他的方程的断言是不正确的:
文章插图
等同于希尔伯特11月20日论文中的方程:
文章插图
这两者只有在齐次时才相等 , 即当应力-能量张量等于零时 。 其次 , 爱因斯坦确实推导出了水星近日点岁差的正确数值 。 然而 , 他在11月11日的论文中给出了一个并不完全正确的方程 。
11月20日 , 希尔伯特在哥根廷发表的演讲中 , 他首先承认爱因斯坦的工作:
爱因斯坦[…]提出了深刻的思想和独特的概念 , 并发明了巧妙的方法来处理它们 。
随后 , 提出歧义:
遵循公理法 , 实际上从两个简单的公理出发 , 我想提出一个新的物理基本方程体系 。 它们具有理想的美 , 我相信它们同时解决了爱因斯坦和米的问题
然后希尔伯特在假定一般协方差的情况下 , 推导了变分原理的正确方程和度规张量g_μν的二阶方程 。
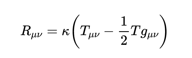
11月25日 , 他否定了他早期提出的两个基本方程 , 并最终提出了我们现在所知道的描述他的广义相对论的正确方程 , 尽管没有正确的应力-能量张量的推导:
文章插图
其中 , R_μν是里奇张量 , T_μν是能量动量张量 , g_μν是度量张量 , T是能量动量张量的迹
这一次 , 他的方程与希尔伯特的完全等价 , 因为它们都暗示R+κT = 0 。 爱因斯坦在论文中没有提到希尔伯特的工作 。
争端
谁先得出正确的方程的?
爱因斯坦发表于1915年11月25日的论文描述了场方程的正确形式 。 希尔伯特是11月20日 。 众所周知 , 希尔伯特给爱因斯坦寄了一份他的研究副本 , 这很可能是爱因斯坦在提交自己的论文之前收到的 。
在很长一段时间里 , 人们相信爱因斯坦和希尔伯特是独立地发现了引力场方程 。 这一点现在引起了相当广泛的争议 。 因此 , 对我们来说 , 优先问题仍然存在 。
希尔伯特优先
文章插图
主张希尔伯特优先的人认为爱因斯坦从他的(希尔伯特的)信件中得到了一些提示 , 这些帮助他得到了场方程的迹项 , 如果是这样的话 , 爱因斯坦应该在他的论文中承认这一点 , 但爱因斯坦并没有 。
物理学家基普·索恩在他的《黑洞和时间扭曲 , 爱因斯坦的惊人遗产》(1994)一书中明确阐述了他的观点:“爱因斯坦并不是第一个发现相对论方程正确形式的人[. . . .] , 必须承认是希尔伯特首先发现的 。 ”
爱因斯坦优先
文章插图
在《阿尔伯特·爱因斯坦传》中 , 作者描述爱因斯坦“向海因里希·桑格抱怨他明显认为希尔伯特企图剽窃” 。 然而 , 当时大多数物理学家和科学历史学家一致认为 , 爱因斯坦和希尔伯特是独立并并行地得出场方程的 , 但爱因斯坦更先 。 诺顿(1986)提供了一个非常详细的论证(56页) , 证明爱因斯坦优先提出了正确的方程 , 其中包括研究爱因斯坦11月工作时的笔记本的其他资料 。
文章插图
这是希尔伯特与《科学日报》第一次通信的第一页 , 上面有手写的便条和1915年12月6日的邮票
对爱因斯坦来说 , 优先权最重要的证据可能是希尔伯特的证明复印件和他11月20日通信的原始手稿 , 这是在希尔伯特的档案中发现的 。 《科学》杂志上一篇题为《希尔伯特-爱因斯坦优先权争议的迟来裁决》的文章使这一材料为人所知 。
什么是毋庸置疑的
很自然 , 根据希尔伯特的宇宙观 , 由此产生的扭曲定律很快就被命名为爱因斯坦场方程 , 而不是以希尔伯特的名字命名 。 希尔伯特独立地、几乎同时地和爱因斯坦一起完成了最后几个数学步骤 , 但爱因斯坦基本上负责了这些步骤之前的一切……——基普·索恩 , 1994
毫无疑问 , 希尔伯特和他所有的同事一样 , 承认爱因斯坦是相对论的唯一创始人 。 这在很多地方都得到了证实 , 甚至在希尔伯特出版的第一页上 。 12月4日 , 希尔伯特甚至提名爱因斯坦为哥根廷数学学会的通信成员 。 尽管如此 , 两人之间确实有过一段紧张时期 。 12月20日 , 爱因斯坦写信给希尔伯特 , 提出和解:
【大卫·希尔伯特|爱因斯坦和希尔伯特的相对论方程之争,真正的神仙打架】我们之间本来就有些怨恨 , 我不想再分析原因了 。 我已经战胜了与之相关的痛苦感 , 并取得了圆满的成功 。 我又一次想起了你 , 对你的情谊丝毫未减 , 我请求你也能对我这样 。 客观上来说 , 如果两个从这个寒碜的世界中解放出来的男人不能给对方带来快乐 , 那是很遗憾的 。
推荐阅读
- 卫星|这个大卫星的“小保镖”,传回了我国的第一张飞船照片
- 希尔绍夫海洋研究所|中俄科学家正在探讨组织一次北极联合科考的可能性
- 大卫·菲利浦·威特|12岁才走出隔离罩的“泡泡男孩”,在死亡前第一次触摸到了妈妈
- 阿尔伯特·爱因斯坦|根据爱因斯坦提出的广义相对论,未来的时空旅行在理论上是可行的
- 阿尔伯特·爱因斯坦|爱因斯坦的相对论启发了勋伯格的音乐吗?|赠书
- 大卫·爱登堡|假期时光,我把孩子放心交给了这个94岁的“豆瓣最高分男神”
- 罗伯特·威廉姆斯|因为某些非常愚蠢的事情而失去了宝贵生命的6个人
- 大卫·莱斯|这五部超能力电影,看完后你希望得到哪种超能力呢?
- 大卫星|阿尔及利亚想生产大卫星V
- |大河酒店管理公司牵手“酒店之王”希尔顿 河南日报报业集团文旅产业开启国际化征程
