文章插图
到19世纪末 , 对太阳光的光谱测量已经揭示出太阳含有大量的氢和少量的氦 。 科学家们在20世纪的头几十年就充分意识到了这一点 , 但由于相对论那时才刚刚被发现 , 而量子物理学也处于早期发展阶段 , 因此不可能将这种观察应用到恒星如何产生能量的问题上 。 直到20世纪20年代初 , 这一直是一个谜 , 当时英国物理学家弗朗西斯·阿斯顿发现四个氢原子的质量之和略大于一个氦原子的质量 。 爱因斯坦的理论预测 , 这种质量上的差异会转化为能量 , 因此阿斯顿推测 , 恒星通过将氢原子聚变成氦来产生能量 。 这个假设在接下来的20年里得到了证实 , 恒星聚变理论现在被认为是现代物理学的重要成果之一 。
人们也很快意识到 , 核聚变反应可以产生大量有用的能量 。 不仅如此 , 它所需要的燃料(氢)在地球上是取之不尽 , 用之不竭的 , 而且聚变反应唯一的废料是氦 , 它是无毒的 , 不会导致全球变暖 。
本文将讨论什么是核聚变及其作为一种能源的含义 。
质能转换
与化学不同 , 在核反应中 , 质量不是守恒的 。 我们总是会发现 , 反应生成物的质量 , 与反应物的质量是不同的 。 这个质量差称为质量缺陷 , 我们把它写成?m 。 质量似乎消失了 , 因为质量缺陷通过爱因斯坦的方程转化为能量 。 反应得到的能量为E=?mc2 。 为了获得有用的能量 , 我们需要?m为正 。 在聚变反应中 , 这意味着我们希望生成物的质量略小于反应物的质量 , 例如一个氦原子的质量略小于四个氢原子的质量 。 在裂变中 , 这意味着我们希望生成物的质量小于反应物的质量 , 比如铀原子的质量要略大于反应产生的中子、氪原子和钡原子的质量之和 。 在相反的方向上进行反应所需要的能量比释放的能量要多 , 原则上 , 将氦原子分裂成氢是可能的 , 但这个过程消耗的能量比释放的能量要多 。
结合能
既然在反应中核子的数量保持不变 , 为什么一个氦原子比四个氢原子轻 , 为什么一个铀原子比一个氪原子和一个钡原子的总质量重?额外的质量在哪里?为了回答这个问题 , 我们先写出反应的能量守恒方程 。 设E-p为质子的质能 , E-n为中子的质能 , E- he为氦原子的质能 , ?E为反应释放的能量 。 能量方程为:
文章插图
这告诉我们 , 在氦原子的原子核中 , 总能量有两项 。 第一个是它的四个核子的质能(两个质子和两个中子 , 我们将它们的质能视为近似相等 , 因为一个质子的质能约为一个中子的质能的999/1000) , 第二个是一个负项 , 绝对值为?E 。 这个负能量叫做结合能 。 它对应于相互作用的总势能 , 其中强大的核力把所有的核子聚集在一起减去带电粒子之间的斥力库仑的电势能 。 结合能是负的 , 因为粒子必须做功(失去动能)才能逃离原子核 。 每核子的结合能是一种特定元素的原子的特性 , 下面的图表描述了这种能量:
文章插图
图片来源:维基百科共享
一个重要的定律是 , 如果一个反应的生成物的原子核比反应物的每核子有更低的结合能 , 那么能量将被释放 。 要了解为什么会这样 , 想象一下在反应后的中间状态(核聚变或裂变) , 产物核作为一种不受约束的状态存在了片刻 , 这种状态由一堆互不相互作用的质子和中子组成 。 为了成为原子核 , 大量的核子必须通过强大的核力相互作用而结合起来 。 这种相互作用的能量是结合能 , 结合能是负的 , 所以当它变成一个原子核时 , 由一堆核子组成的系统的总能量降低了 。 但是能量必须是守恒的 , 所以为了降低系统的热力学能 , 它必须向周围放出一些能量 。
你还可以在图表上看到 , 比铁重的元素在裂变时释放能量 , 比铁轻的元素在聚变时释放能量 。
如何引起聚变
我们已经确定了核聚变过程中会发生什么 , 但我们还需要知道如何使两个原子核发生聚变 。
原子核由不带电的中子和带正电的质子组成 , 它们都带正电 , 因此它们相互排斥 。 然而 , 当两个核之间的距离与核直径相当时 , 一种叫做强核力的力就会起作用 。 与静电力不同的是 , 静电力的作用范围是无限的 , 而强核力的作用范围是有限的 , 因此 , 如果原子核之间的距离大于这个范围 , 那么强核力相互作用就不会发生 。 然而 , 与静电力不同的是 , 这种强力是有吸引力的 , 它将质子和中子结合在一起 , 对抗斥力 。 如果我们能使两个原子核靠得足够近 , 使强大的核力压倒静电力 , 它们就会发生聚变 。
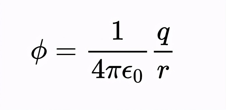
如果我们从势能的角度来考虑 , 这会更清晰 , 并且首先采用忽略量子力学的经典方法 。 一个带电荷q的正电荷粒子 , 就像氢原子的原子核一样 , 产生一个电势场:
文章插图
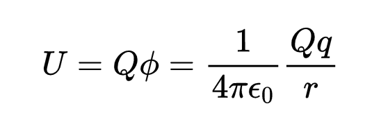
其中ε0是一个物理常数 , 称为自由空间的介电常数 。 这个势场告诉我们的是如果两个电荷Q和Q之间距离为r , 那么与它们相互作用相关的势能是:
文章插图
你可以看到 , 当距离r变小时 , 能量变大 。 因此 , 为了使两个电荷靠得更近 , 我们需要对两个电荷的系统做功 。 就是要使两个电荷( q=Q=~1.6 × 10^–19库伦)靠近到强核力占主导的距离范围内(1.7飞秒) , 因此U=1.35×10^-13焦耳 。
让我们看一个图解 , 它说明了两个质子相互靠近时的情况 。
文章插图
这张图显示了两个质子相互作用的总能量 。 如果势能是正的 , 那么质子必须做功来减少它们的分离 , 因此相互作用将倾向于导致质子相互排斥 。 如果势能是负的 , 那么质子将不得不做功来增加它们的分离 , 因此相互作用将倾向于吸引 。
在曲线A部分 , 只有静电相互作用是主动的 , 电势是正的 。 在距离约1.7飞米 (B点)时 , 强的相互作用开始作用 , 并立即压倒静电相互作用 。 点B的能量被称为势垒的高度 , 如果质子从势垒的右边开始能量小于势垒的高度 , 那么我们把势垒左边的区域称为经典禁带 。 在距离小于0.7飞米(D点)时 , 强相互作用由正转变为负 , 因此在曲线D处的粒子将被推回到C点 。
势曲线中静电作用占主导地位的部分(V(x)在x>1.7 时)称为静电势垒 , 或库仑势垒 , 如果进入的质子的动能小于这个量 , 那么它就不能越过库仑势垒 。
那么我们如何给质子足够的动能呢?最简单和最有效的方法是使它非常“热” 。 当然 , 温度不是为单个原子定义的 , 但是我们可以为大量氢原子样本定义温度 , 称之为T 。 温度T下单原子气体样本的平均动能是 ?K?= (3/2)kT , 其中K为玻尔兹曼常数 。
我们发现所需的温度高得离谱 , 65亿开尔文 。 这个数量级不仅高于任何在地球上可以达到的合理水平 , 而且太阳核心的温度估计“只有”1500万开尔文 。 那么 , 恒星的聚变是怎么发生的呢?我们在地球上又怎么可能发生聚变呢?
势垒穿透(量子隧穿)
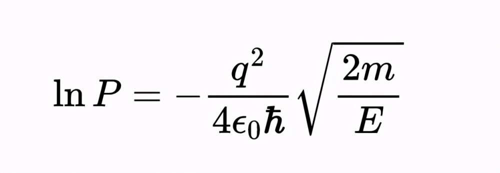
答案就在势垒穿透现象中 , 也被称为量子隧穿 。 我们都知道粒子在原子和亚原子距离尺度上的位置是不明确的 , 概率的方程为:
文章插图
对于两个质子的核聚变 , 我们发现 , 假设x = 0处的质子在碰撞过程中不会移动太多 , 由于入射质子具有平均能量 , 给定 K?= (3/2)kT , 因此E = 1935 eV , 穿透势垒的概率约为1.2×10^-17 。 这看起来似乎是一个非常小的数字 , 但我们处理的是氢原子的宏观量 。 如果一克氢原子射入另一克静止原子 , 那么预计将发生720万次核聚变事件 。
在恒星聚变的具体情况下 , 我们应该注意到两个质子的聚变只是所谓质子-质子循环的第一步 。 两个氢核发生聚变 , 形成一种非常不稳定的束缚状态 , 它会衰变 , 半衰期估计为10^-22秒 。 要成为一个稳定的氘核(然后聚变成氦-3 , 最后聚变成氦-4) , 其中一个质子必须通过发射一个正电子和一个电子中微子而衰变成中子 。 这个过程更不可能发生 , 但尽管如此 , 恒星还是能够产生足够的能量 , 因为那里有太多的氢原子 。
不管我们试图诱导哪种聚变过程(两个普通的氢原子 , 还是两个氘原子) , 都需要把气体原子加热到其随机热运动的动能足够大 , 足以让它们在碰撞时具有足够大的隧穿概率 , 从而发生聚变 。 在恒星聚变过程中 , 当恒星形成时 , 所有的气体原子都向内坍缩 , 摩擦和压力产生了最先点燃反应的热量 。 在人工聚变中 , 我们必须更有创造力 。 目前主要有三种技术正在研究中 。
第一种是中性束注入 , 这一过程通过向等离子体发射高能粒子来产生热量 。
第二种是利用快速振荡的磁场将能量注入等离子体 。
第三种是欧姆加热 , 它利用导体在大电流通过时发热的事实 。
高效加热仍然是核聚变研究的核心问题之一 , 特别是人工聚变需要比恒星聚变更快的反应速率 , 需要超过1亿开尔文的温度 。
反应堆类型
请注意 , 与恒星聚变不同的是 , 几乎所有的人工反应堆都是通过聚变氘和氚来产生氦 , 要么是在D-D循环(两个氘原子产生一个氦) , 要么是D-T循环(一个氘原子和一个氚产生氦) 。
托卡马克反应堆
托卡马克反应堆开发于前苏联20世纪50年代 , 是研究和开发最彻底的核聚变反应堆 , 目前仍是大规模核聚变发电的主要候选反应堆 。
托卡马克反应堆有一个环形室 。 磁场是由图中的绿色线圈和等离子体本身传导的电流产生的 。 合成的磁场是螺旋状的 , 用图中暗紫色的箭头表示 。 因此 , 它被归类为磁约束反应堆 , 也就是说 , 它利用磁场加热等离子体 。
文章插图
图片来源: CCFE
这是最常见的一种实验反应堆 , 目前在世界上大约有36个 。 2025年法国ITER托卡马克反应堆建成后 , 它将成为世界上最大的托卡马克反应堆 。
文章插图
恒星发生器
恒星发生器是另一种磁约束装置 , 它遵循与托卡马克相同的基本工作原理 , 但有一个关键区别 。 为了容纳等离子体 , 托卡马克产生了一个螺旋场 。 这需要一个大电流通过等离子体本身 。 这会导致等离子体变得不稳定 , 增加磁约束失效的可能性 , 终止反应 , 并可能损坏反应堆 。 恒星发生器通过扭曲等离子体核反应堆本身来避免这种情况 , 而不是创造一个扭曲的磁场 。
文章插图
在托卡马克设计被首次提出后不久 , 恩里科·费米和他的同事就注意到了托卡马克的这个基本问题 。 然而 , 以这种方式设计一个反应堆需要极其精确的计算机模拟和绘图 , 以及由精确制造的超导线圈产生的极其强大的磁场 , 这些在费米那个时代都是不可能的 。 这项技术直到20世纪90年代才得以实现 , 因此恒星发生器的正式提出也只是最近的事 。 德国的温德尔斯坦7-X反应堆于2015年完工 , 是目前运行中的最大的恒星发生器 , 这是聚变研究的一个重要里程碑 。
文章插图
温德尔斯坦7-X的第一次等离子点火 。
直接驱动
这种方法与我们刚才讨论的两种方法完全不同 。 直接驱动反应堆属于惯性约束装置 。 在惯性约束条件下 , 极高的能量被输送到固体燃料球团 , 将球团加热到极端温度 。 颗粒的外层蒸发并向外爆炸 , 产生冲击波 。 这种冲击波产生了用来加热的能量 。 几乎所有的设备都使用了激光 。
文章插图
惯性约束过程的简化描述 。
你可以在图中看到这个过程 。 在第1步 , 激光加热球团的外层 。 在第二步 , 外层蒸发并产生冲击波 。 在第三步中 , 冲击波迫使小球向内坍塌 , 从而导致了第四步的聚变 。
文章插图
核燃料球 。
法恩斯沃斯聚变
【聚变|你真的懂核聚变吗?核聚变的细节和数学原理】法恩斯沃斯聚变装置(简称为fusor)与大多数实验性聚变装置的不同之处在于 , 它的目的不是产生有用的能量 。 Fusors是无可救药的低效 。 然而 , 它们作为紧凑和易于控制的中子辐射源确实有一些用途 。
文章插图
一个由威斯康星大学麦迪逊分校的物理学家建造的反应堆 。 “
法恩斯沃斯聚变通过惯性静电约束工作 。 这个过程类似于惯性约束 , 但它使用的是电场而不是压力波 。 这也可能是实现核聚变最简单的方法 。 电场是由两个同心的 , 相反的带电球面网格产生的 。 原子被磁场抛向反应堆中心 , 在那里它们发生碰撞 , 并有很小的机会发生聚变 。 下面的图表说明了这个过程 , 尽管只是在一个维度上 。
文章插图
惯性静电约束的简化图 。
带正电的氘核落在随机热运动产生电场的区域 。 这是一个合理的近似 , 电场完全包含在这个区域内 。 磁场使它们向中心加速 。 原子核在中心碰撞时可能发生聚变 。
冷聚变和其他骗局
如果核聚变作为一种可行的能源被利用起来 , 它将理所当然地被视为人类最伟大的科学成就之一 , 而名誉和财富必将等待着最终解决这个问题的科学家和工程师们 。 不幸的是 , 核聚变研究的历史被善意但过度炒作并最终失败的项目、骗局、彻头彻尾的欺诈和自由能源阴谋论者玷污了 。
其中最重要的是所谓的“冷聚变” , 即一种聚变反应堆 , 在室温或接近室温的情况下产生净电力 。 我们在文中已经解释了为什么发生聚变需要极高的温度 , 现在科学已经知道了这个事实 , 这是无法回避的 。 任何声称已经在室温或接近室温的情况下 , 或者实际上是低于1000万摄氏度的任何温度下实现了核聚变的说法 , 都应该受到怀疑 。 唯一的例外是介子催化的聚变 , 涉及的反应发生在接近绝对零度(以后可能会专门有一篇关于它的文章 , 关注老胡说科学) 。
当评估媒体对任何尖端技术的断言时 , 最好保持乐观 , 但也要适当地持怀疑态度 。 在目前的情况下 , 我们确实有充分的理由保持乐观 。 尽管如此 , 始终要小心落入媒体炒作的陷阱 , 永远不要相信任何人试图说服你一些听起来好得难以置信的事情 。
人工核聚变的未来
我们有充分的理由相信 , 核聚变发电是可能的 , 并可能成为我们有生之年能源供应的关键组成部分 。 这个问题不再是一个技术和科学的可行性问题 , 而是一个经济和政治的问题 。
随着替代能源变得更加可行 , 以及石油和煤炭供应的地缘政治变得更加不稳定 , 化石燃料行业终于开始失去对社会的控制 。 核聚变的进展将是缓慢而稳定的 , 但我们有充分的理由相信 , 核聚变将在我们的有生之年为我们的家庭提供能源 。
推荐阅读
- 喝酒|长期喝酒者,早起后,若有这5个表现,你得考虑戒酒保肝了!
- 浪胃仙|泡泡龙的离世给所有吃播提了醒,浪胃仙顺势决定“转行”,新职业认真的吗?
- 教你自制岩烧乳酪
- 教你做虎皮蛋糕上的虎皮,掌握2个技巧,保证起虎皮,做法很简单
- 番茄炒鸡蛋先炒番茄还是先炒鸡蛋?其实都不对,正确方法送给你
- 鸡翅家常做法,做法简单 ,汤汁浓郁,美味下饭,真的超赞!
- 不用油不用牛奶,教你做蜂蜜蛋糕,蒸或烤都可以,只需4种食材
- 春天来了教你几道好吃不油腻的家常菜,美味简单下饭,百吃不厌!
- 大脑|你的大脑和心理究竟是什么关系?
- 冬天到了,教你几道暖胃家常菜,营养健康,孩子营养不发愁!
