北极海冰|北极海冰达到2020年最低值,此前的预测集体失灵?
编者按:看寒来暑往云卷云舒 , 思古往今来气候变迁 , 中科院之声与中国科学院大气物理研究所联合开设“大气悟理” , 为大家介绍大气里发生的有趣故事 , 介绍一些与天气、气候和环境相关的知识 。
2020年9月15日 , 北冰洋海冰范围达到了2020年的最小值 , 约为374万平方公里(1.44百万平方英里) , 比1980至2010年期间的平均值(627万平方公里)小约40% 。 “374万” , 这一数值仅仅比2012年9月16日334万平方公里大 , 大幅度小于之前的历史第二(2016年9月7日的414.5万平方公里)和第三(2007年9月14日的414.7万平方公里)的数值 , 这使得今年成为有现代观测记录(42年的卫星记录)以来海冰范围第二小的年份 , 这也是北极海冰范围第二次低于400万平方公里 。
本文图片
【北极海冰|北极海冰达到2020年最低值,此前的预测集体失灵?】逐年北极海冰范围数值 , 北极海冰范围数值减少趋势明显 , 2012年9月份海冰范围数值创历史记录 , 2020年9月海冰范围(红色曲线)历史排名第二 。
本文图片
2020年9月15日 , 北极冰雪海冰范围为374万平方公里 , 这一数值比气候平均值低40%以上 , 橙色曲线为历史平均的北极海冰范围 。 (图片来源:美国冰雪数据中心https://nsidc.org/)
尽管排名第二 , 但是今年的数值有特别的含义 。 2012年8月和2007年8月 , 北极区域均遭遇极强的气旋活动 , 气旋的强度甚至可以达到冬季强气旋活动的程度 , 是导致海冰面积极端低值的“罪魁祸首” , 导致当年海冰范围大幅度小于气候平均态 , 在当年即创下历史记录 。 而2015/2016年全球遭遇超级El Nino , 当年的海洋表层温度超高 , 当年创下的全球最高气温 , 时至今日也没有超过 。 2020年 , 赤道中东太平洋海温偏中性 , 秋季开始 , 一个弱的La Nina处于发展状态 , 在这样的年份形成海冰最小值 , 可以看做真正意义上的海冰极值 。 2020年是夏季没有极涡异常活动 , 且不是厄尔尼诺年里 , 北极海冰最少的一年 。
每年海冰面积呈现周期性变化 。 在每年的9月中旬达到一年最小值 , 秋分之后 , 随着极夜的到来 , 北极海冰不断增长 , 到次年3月再次达到一年最大值 , 此后 , 随着春季的到来和北极进入极昼 , 海冰不断消融 , 在第二年9月中再次达到最小值 , 海冰增加-减少-再增加-再减少……周而复始 , 像是地球系统的呼吸一般 , 反映着季节的变化 。
然而 , 全球变暖正悄悄地改变着这一呼吸的节奏 , 北极海冰的面积越来越小 , 平均而言 , 北极二三月份海冰面积的最大值约为1550万平方公里 , 近些年 , 这一平均数值下降了约100万平方公里左右 , 例如2019年最大值仅有1490万平方公里 , 2018年最大值为1450万平方公里 , 2020年最大值为1516万平方公里 。 9月份海冰范围按照每十年减少12.85%的速度迅速减少 , 北极海冰面积已经比上世纪70年代减小了40% , 总冰量则大幅度减少70% , 现阶段的海冰量是至少过去1000年里的最小数值 。 因此包括今年在内 , 2007~2020的14年是有卫星记录以来海冰面积最低的14年 , 每一年的最低值都远低于1981-2010年的平均值 。
除了总面积减小 , 多年海冰也大幅度减少 , 顾名思义 , “多年海冰”指的是在夏季融化季节幸存下来的海冰 , 一般是冰层中最厚的部分 , 寿命可达9年或以上 。 在上世纪80年代之前 , 北冰洋地区超过1/3的海冰为寿命达4年及以上的多年海冰 , 1987年8月(第34周) , 4年及以上的北极海冰覆盖面积为263.9万平方公里 , 而在2019年8月(第34周) , 4年及以上的北极海冰覆盖面积为5.9万平方公里 , 数值减少了98% , 这意味着现在北极的海冰基本都是当年形成并且在当年融化的冰 , 一般而言 , 冰的年龄越老 , 越难融化 , 多年海冰的减少 , 意味着海冰对于气候的稳定作用大幅度减弱 , 这是个危险的信号 。
本文图片
2020年9月与1984年9月初的北极海冰对比图 , 海冰不仅面积大幅度降低 , 而且多年海冰量也所剩无几(图片来源:美国冰雪数据中心https://nsidc.org/data/nsidc-0611/versions/4)
北极海冰范围和面积不只是一串变化着的数字 , 它是全球气候变化的核心指标和“放大器” , 对地球气候系统有重要的影响 。 它可以通过影响中高纬度的西风急流强度 , 调控中纬度地区阻塞形势出现的频率 , 当冷空气入侵的频率增加时 , 会导致冬季的极端低温天气和异常降雪频发 。 另外 , 随着北极海冰的消融 , 每年7-10年间 , 从西伯利亚到阿拉斯加长达1.3万公里的海岸线更容易受波浪和冻土融化的影响 , 造成严重的海岸侵蚀 。
国际社会一直密切观测和评估海冰的变化 , 2019年9月25日 , IPCC在摩纳哥召开的第51次会议发布了《气候变化中的海洋和冰冻圈特别报告》 , 其中就对包括北极在内的冰冻圈的变化、影响和适应对策进行了评估 , 体现了目前科学界对于海洋和冰雪圈的最新认识 。
海冰预测是一道国际性难题
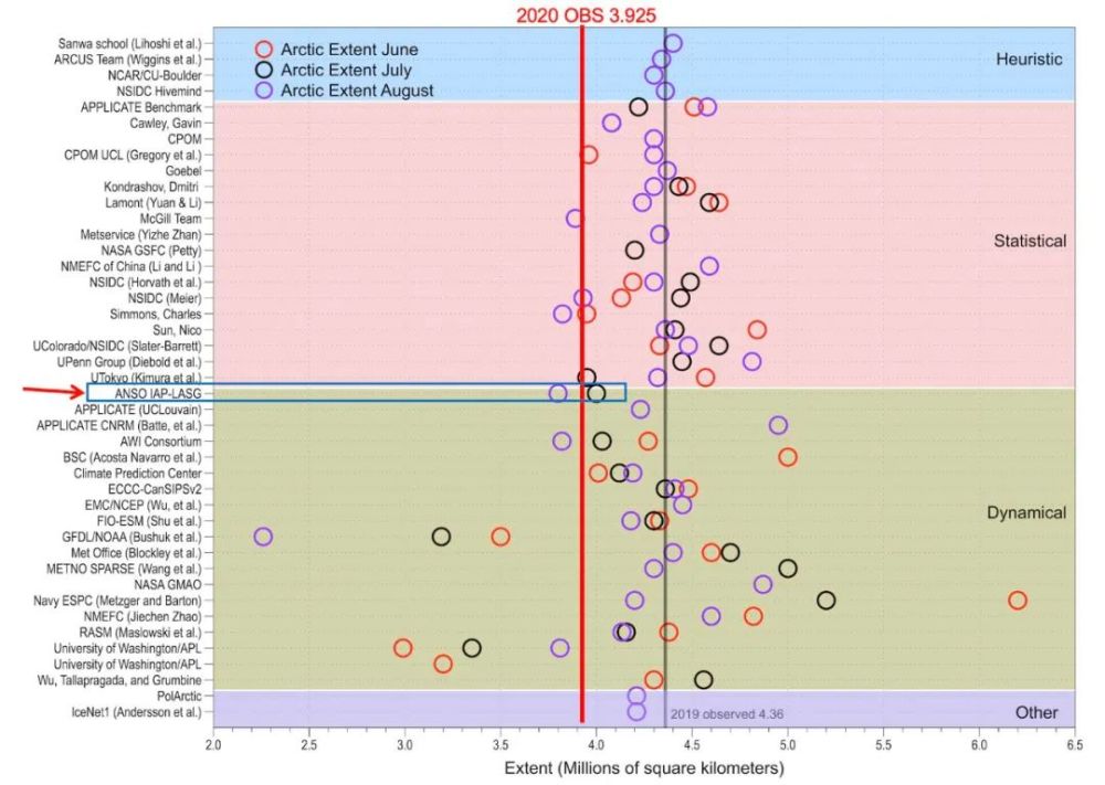
9月份是每年海冰面积最小的月份 , 海冰的精准预测是一道国际性难题 。 从2015年开始 , 国际海冰预测网络活动(SIPN)每年6-8月向全球科学家征集当年9月北极海冰覆盖面积的预测结果 , 各个研究机构需要在6月初、7月初和8月初三次提交关于当年9月份的预测情况 , SIPN代表北极海冰在季节和季节内预测的最高水平 。
2020年是SIPN的第六届预测活动 , 今年6月份全球33个机构提交了北极海冰覆盖总面积的结果 , 13个机构提交了北极海冰覆盖面积的空间(2D)分布的结果 , 7月份总面积预测增加为38家 , 8月份增加为39家 , 代表了全球对于北极海冰预测的主要研究力量 。 虽然北极海冰的空间分布预测更具挑战性 , 但由于预测门槛较高难度较大 , 参加机构明显少于总面积预测的机构 。 总体而言 , 提前的时间越久(例如6月预测9月) , 预测的不确定性越大 , 准确性也越低 , 所以 , 8月份预测9月份 , 其准确度越高 。
6月份的预测呈现两极分化 , 其中有三个机构预测的最少 , 可以看做是“激进三人组” , 由华盛顿大学提交的数值最小 , 仅为320万平方公里 , 其次为美国国家海洋和大气管理局地球物理流体动力学实验室(GFDL/NOAA)的350万平方公里 , 由中国科学院大气物理研究所大气科学和地球流体力学数值模拟国家重点实验室(ANSO IAP-LASG)提交的数值为380万平方公里 , 这三者的数据都低于400万平方公里 , 在北极海冰范围的历史上至少能排名第二 。
而美国海军研究实验室的ESPC系统预测620万平方公里 , 来自西班牙的巴塞罗那超算中心BSC预测500万平方公里 , 挪威的METNO SPARSE 预测500万平方公里 , 法国的APPLICATE CNRM预测 495万平方公里 , 均大幅度高于所有模式的中值范围 , 数值接近甚至高于2000年以来北极海冰的平均数值 , 在海冰预测方面可以看做是“反激进四人组” 。
到了7月份 , “激进三人组”成员基本稳定 , 但是美国国家海洋和大气管理局地球物理流体动力学实验室(GFDL/NOAA)的数值修正为319万平方公里 , 华盛顿大学修正为335万平方公里 , 这两个数值模式都预测一个新的历史记录的产生 , 而中国科学院大气物理研究所ANSO IAP-LASG提交的数值修改为400万平方公里 , 这一数值在历史记录里排名第二 。 在“反激进四人组”中 , 美国海军研究实验室的ESPC系统大幅度调整数值 , 预测值比之前减少100万平方公里 , 预测520万平方公里 。 模式的两极分化 , 体现了不同模式和研究机构对于未来走向的不同判断 。
本文图片
国际海冰预测网络活动(SIPN)各研究机构在6月(红色圆圈)、7月(黑色圆圈)和8月(紫色圆圈)所做的9月海冰预测展望 , 灰色和红色线显示了2019年9月和2020年9月的海冰范围数值 。 其中红色箭头所标识为中国科学院大气物理研究所ANSO IAP-LASG的预测值
到了8月份 , 前两个月的“激进三人组”变成了“激进四人”组 , 美国国家海洋和大气管理局地球物理流体动力学实验室(GFDL/NOAA)提交的数值是226万平方公里 , 比上个月的预测数值(350万平方公里)大幅度降低124万平方公里 , 坚持今年会创历史记录 。 华盛顿大学提交的数值为381万 , 比上个月的预测值(320万)增加61万平方公里 , 不再坚持今年会创历史记录;中国科学院大气物理研究所ANSO IAP-LASG提交的数值为380万平方公里 , 已经恢复为6月份的预测结果;德国阿尔弗雷德·韦格纳研究所(AWI)提交的数值为382万平方公里 , 这个模式7月份的预测值为403万 , 8月也向下做了调整 。 这四个数值远低于所有模式的中值范围 。
“反激进”组在8月底即遭遇严重挫折 , 法国的APPLICATE CNRM连续三个月的预测结果都为495万平方公里 , 没有任何调整;美国NASA GMAO模式预测结果为487万平方公里 , 与上个月预测结果相比 , 也没有调整;来自我国自然资源部国家海洋环境预报中心的预测结果为460万平方公里 , 与上个月没有改变 。 8月31日 , 美国冰雪数据中心(NSIDC)公布的实时观测结果为433万平方公里 , 事实上已经宣布了“反激进”组的预报结果的高估 。
从6月份到8月份 , 连续三次的预测中 , 各个模式的中值范围基本保持稳定 , 6月份预测中值为433万平方公里 , 7月份为436万平方公里 , 8月份为430万平方公里 , 这三组数值都高于2020年9月份的平均数值约392.5万平方公里 , 表明模式整体上对于海冰的预测存在偏高的系统性偏差 , 也说明了精准预测海冰变化依然是国际社会的重要难题 。
“无冰”的北冰洋是气候变化的“临界点”
在持续全球变暖的影响下 , 北极地区可能会进入“无冰”状态 , 即是说 , 北冰洋的海冰面积小于100万平方公里 , 届时剩余的冰雪将主要集中在加拿大北极群岛区域 。
北极海冰被多项研究认为是气候变化的诸多临界点之一 , 所谓临界点 , 是指气候变化中不可逆的突破点 , 可以理解为“压死骆驼的最后一根稻草” 。 夏季北极海冰消融、格陵兰岛冰盖消融、阿尔卑斯山冰川消亡、南极洲西部冰盖消融等是最可能首先被触及的地球气候系统的临界点 , 从而启动“多米勒骨牌”般的不可逆过程 , 进一步加剧全球变暖 。 当全球升温达到1℃~3℃时候 , 即有可能触发以上过程 , 目前全球气温比工业革命前已经高约1.1℃ , 北极海冰这个临界点随时可能被启动 。
本文图片
北极海冰 (B)是气候系统多个临界点之一 , 一旦北极进入无冰状态 , 会引起气候系统不可逆的变化 , 9个活跃的气候临界点包括:(A)亚马孙热带雨林、(B)北极海冰、(C)大西洋经向翻转环流、(D)北方森林、(F)珊瑚礁、(G)格陵兰冰盖、(H)多年冻土、(I)西南极洲冰盖、(J)东南极洲冰盖 , 图片来自Lenton et al. (2019) 。
作为全球气候变化的指标和“放大器” , 全球冰冻圈的健康和稳定是气候系统稳定的基石 。 在北半球夏季漫长的日子里 , 北极海冰的白色表面反射了高达80%的入射阳光 , 对气候产生了降温影响 。 然而 , 当海冰消融 , 裸露的海水吸收更多的太阳热量 , 会进一步导致更多的融化和变暖 , 形成北极变暖和海冰融化的正反馈循环 , 这种深远的影响正在加快重塑中高纬的生态系统、海岸线稳定与人居环境 。 也将进一步调制全球的天气和气候系统 , 影响极端事件的强度和频次 。
大幅度的海冰减少 , 意味着北冰洋上大规模开阔海面的形成 , 沿着冰岛-巴伦支海-欧亚大陆北方海域-白令海峡的北冰洋东北航道将具有通航条件 。 目前 , 海运承担国际贸易2/3以上的总运量 , 我国进出口货运总量的90%都依赖海运 , 北极航道的打开将使得中国和欧洲之间的海运航线减少1/3的航程 。 因此 , 北极海冰的减少意味着更多的北极航运和勘探 , 对世界经济和国家安全具有重大影响 。 对于北极海冰的变化 , 需要高度重视、持续监测与深入研究 。
参考文献:
1. Comiso, J. C. 2012. Large decadal decline of the Arctic multiyear ice cover. Journal of Climate 25(4): 1,176-1,193.
2. Dai, A., and M. Song, 2020: Little influence of Arctic amplification on mid-latitude climate. Nature Climate Change, 10, 231-237.
3. Kinnard, C., Zdanowicz, C.M., Fisher, D.A., Isaksson, E., de Vernal, A., and Thompson, L.G. (2011). Reconstructed Changes in Arctic Sea Ice over the Past 1,450 Years. Nature 479, 509-512, https://doi.org/10.1038/nature10581.
5. Polyakov, I.V., J.E. Walsh, and R. Kwok. 2012. Recent changes of Arctic multiyear sea ice coverage and the likely causes. Bulletin of the American Meteorological Society 93: 145-151.
6. Perovich, D., Meier, W., Tschudi, M., Farrell, S., Hendricks, S., Gerland, S., Kaleschke, L., Ricker, R., Tian-Kunze, X., Webster, M., Woods, K. (2019). Sea ice. 2019 Arctic Report Card.
7. Tschudi, M., W. N. Meier, J. S. Stewart, C. Fowler, and J. Maslanik, 2019a: EASE-Grid Sea Ice Age, Version 4. Boulder, Colorado USA. NASA National Snow and Ice Data Center Distributed Active Archive Center. https://doi.org/10.5067/UTAV7490FEPB.
8. Tschudi, M., W. N. Meier, and J. S. Stewart, 2019b: Quicklook Arctic Weekly EASE-Grid Sea Ice Age, Version 1. Boulder, Colorado USA. NASA National Snow and Ice Data Center Distributed Active Archive Center. https://doi.org/10.5067/2XXGZY3DUGNQ.
来源:中国科学院大气物理研究所
推荐阅读
- 番茄|每平方米产量达到70公斤?五大技术特点解密荷兰的温室番茄高产原因!
- 新冠|研究:辉瑞疫苗阻止新冠无症状感染的有效性达到了94%
- 科学家|科学家警告:地球夏季越来越长,可能达到180天!四季将错乱?
- 群体免疫|多位专家呼吁:尽快接种新冠疫苗,以达到群体免疫!
- 希尔绍夫海洋研究所|中俄科学家正在探讨组织一次北极联合科考的可能性
- 新冠肺炎疫苗|你接种新冠肺炎疫苗了吗?6月底前要达到40%
- 梅琳达·盖茨|梅琳达·盖茨:人类有望在2022年达到全球新冠病毒群体免疫
- 贮箱|中国直径3米段贮箱问世,长度达到5米,有望达到全球一流水平
- 台风|太空也刮台风了?新研究称北极上空现“太空台风”,高达750公里
- 光速|光是如何达到光速的?动力是从哪来的?
