牙齿|鸟为啥没有牙?它们的蛋为啥不是正球形?
很多人都知道 , 鸟儿没有牙齿 , 吃东西要么像猫头鹰吃耗子一样:整个吞下去 , 然后将消化不了的皮毛成团后吐出来 。 要么像母鸡奶孩子一样:鸡妈妈先啄开 , 然后小鸡崽子们再去吃 , 实在是消化不了就吃点小石子进胃里去研磨食物 。
反正都没有咀嚼这个过程 。
本文图片
最早的鸟儿是有牙齿的 , 在演化的过程中 , 鸟类没有选择进化牙齿 , 而是进化了喙 。
【牙齿|鸟为啥没有牙?它们的蛋为啥不是正球形?】
本文图片
本文图片
1:为了减轻头部的重量
可能会有人觉得 , 牙齿能有多重 , 省这点重量能干吗?
这牙齿不可能直接长在喙上吧 , 喙都是角质层不能直接长牙 , 那他是不是还有牙床?而且还要有能研磨食物的肌肉 。
本文图片
这可不是简单加个牙齿的重量!
为了方便捕食 , 能更加准确的确定猎物的位置 , 头部大部分的重量都分给了眼睛和脑子 。
本文图片
而且鸟类的头本身就不大 , 所以省这点重量还是很有必要的!
2:牙齿是可以被替代的
牙齿的主要功能就是研磨食物 , 方便消化 。
鸟儿的天敌大部分在地上 , 细嚼慢咽会需要自己在地面待更久的时间 , 这对鸟儿来说更加的不安全 , 相反直接整个吞掉才是最有效率的做法 。
至于消化问题 , 鸟儿们放弃了牙齿 , 但也演化出了嗉囊和胃肌 。
嗉囊是鸟类食管的后段暂时贮存食物的膨大部分 , 先将食物储存在嗉囊里 , 经过润湿和软化然后进入胃肌进行研磨 。
本文图片
有些鸟类还会吃小石子进入嗉囊帮助研磨 , 所以牙齿并不是很必要的存在 。
这时候可能又有小伙伴要问了 , 不长牙齿是为了减轻重量 , 但是吃小石子帮助研磨不就是增加重量了嘛?这互相矛盾啊 。
这里有个重点 , 减轻的是头部的重量 , 维持身体的平衡 。
3:发育牙齿太费时间
这个说法是基于对爬行动物的研究 , 爬行动物的胚胎发育牙齿的过程占孵化时间的一半 , 所以就有了鸟类没有牙齿是为了尽快孵化出来的说法 。
4:用进废退 , 基因缺失
前面三个理由都像是在解释 , 鸟没有牙齿有什么好处 , 难道说有牙齿飞不平衡 , 鸟就能立刻没有牙齿吗?这中间一定有一个有漫长的过程 。
这就要说到基因了 , 我们的很多形状都是由基因控制的 , 例如由些人的大拇指可以向后折 , 有些人有酒窝 , 有些人可以卷花舌 , 这些都是受基因控制的 , 牙齿不例外 。
有学者分析了脊椎动物的基因 , 而跟牙齿形成有关的基因在鸟类里已经找不到了 , 或者基因是不完整的所以不表达 。
即使是基因突变也不会导致所有的鸟都没有牙齿 , 所以这也是一个用进废退的过程 , 当鸟儿的食谱发起变化 , 牙齿起不了太大作用的时候 , 用的就少了 , 慢慢的也就没有牙齿 。
而且他们应该是整个身体和习性都在同步变化 , 然后逐步稳定下来的 , 不可能出现之前的鸟儿跟现在发的鸟儿没有其他差别 , 就是缺个牙齿的情况 。
本文图片
1:椭球形的蛋不容易滚
在悬崖边生活的鸟的蛋小头会更加尖 , 这是因为尖头蛋滚的时候会绕着小头跑 , 而不会滚太远 。
本文图片
小头蛋的好处
2:椭球好孵化
正球形的蛋不容易推起来 , 如果鸟妈妈下的蛋比较多 , 就不能很好的照顾到所有的蛋 , 而这种一头大一头小的蛋则容易堆积 。
本文图片
3:鸟妈妈体内的钙含量不够?
有说法是蛋壳的主要成分是碳酸钙 , 一窝要下那么多的蛋 , 这些钙要是在人类身体里估计都是好多个结石了 , 有些鸟妈妈储存不了这么多的钙 , 所以他们就选择生体积相同但是表面积更小椭球蛋来节省钙 。
但这里有问题 , 相同体积下椭球的表面积会比正球型的表面积小吗?
本文图片
为了验证这一说法 , 小鹿专门去上了一节数学课 , 得到了一个结论:在相同体积的椭球和球 , 椭圆的表面积并没有小于球形的表面积 。
所以鸟妈妈钙不够而导致蛋是椭圆的说法并不成立 。
论证方法如下:
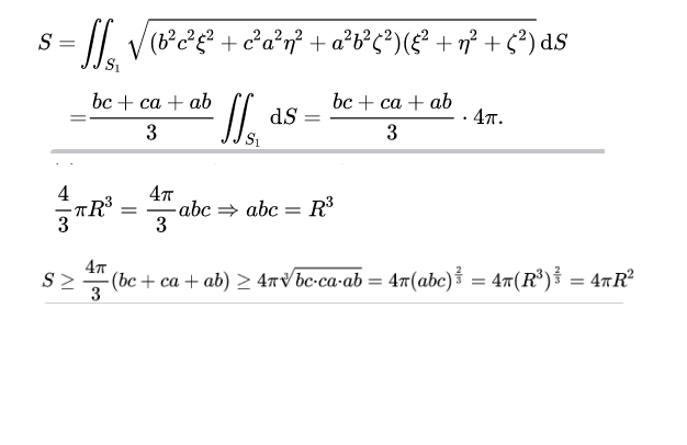
假设椭球的半轴长分别为a,b,c , 椭球的体积为V椭=(4/3)πabc 。
假设球形的半径为r , 球的体积为V=(4/3)πr^3
体积相同则abc=r^3
S椭球≥(4/3)π(bc+ca+ab)=4π(abc)^2/3=4πr^2(球的表面积)
本文图片
本文图片
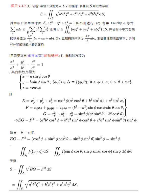
体积相等的椭球表面积不小于球的表面积(来源:数学考研锦囊)
4:为了更好的飞行
这个说法是最靠谱的 , 前面树洞额都是鸟蛋不是圆的有啥好处 , 这个说法这是明确的说明了 , 蛋是怎么变的不圆润的 。
因为鸟的身体就那么大 , 他们又还要飞行 , 所以蛋在身体里发育的时候 , 直径就不能太大 , 但是孵化的营养物质得够啊 , 所以他们的体积不会变小 , 于是蛋的长度就被拉长了 。
这样子能容纳的蛋比较多而且又不影响自己飞行 , 所以身体里的蛋在没有生之前就是一头尖一头圆的蛋型了 。
本文图片
越是飞行能力较佳的鸟 , 蛋越是尖 , 例如企鹅(天上飞和水里飞都是飞) 。 不怎么飞行的鸟蛋就比较圆 , 例如鸵鸟 。
本文图片
作者:张月鹿;文章来自:新赐爬界;关注我带你了解更多动物知识 。
- End -
推荐阅读
- 为啥农村人招待客人喜欢在家里炒菜,城里人招待客人喜欢下馆子?
- 蝎子|沙漠里出现姬鸮,专吃蝎子,住啄木鸟的窝里,还让盲蛇来清洁巢穴
- 长颈鹿|每头长颈鹿都是高血压,它们为啥活得还很健康?
- 韭菜|农民种植韭菜,消费者吃起来很小心,“毒韭菜”的帽子为啥难摘掉
- 为啥饭店炒的包菜那么香厨师长炒之前,先放一勺它
- 牙齿|牙齿不白怎么办?科学美白来改变!
- 沃柑|放两个月都不会烂的沃柑,果农为啥从来不吃?
- 火锅店的酥肉为啥又酥又脆?记住3个技巧,酥肉香酥不回软
- 抑郁|老人都退休享福了,为啥还会抑郁?出现3个症状,要关注!
- 大列瓜|徐水上空大群鸟儿空中盘旋飞过,满天都是!咋回事儿!
