粒子|光每秒速度达到了30万公里,那它的动力是什么?
【粒子|光每秒速度达到了30万公里,那它的动力是什么?】如果要问宇宙中有什么是绝对的?那么 , 在物理学当中 , 有一个东西是绝对的 , 那就是光在真空中的速度近似等于30万公里/秒 。 那光为什么会这样拥有这样的速度?它的动力到底是什么呢?
本文图片
其实 , 答案很简单 , 光不需要动力 , 基本粒子天生就拥有光速 , 而光没有静止质量 , 它没有被希格斯场所减速 , 而其他基本粒子因为拥有静止质量 , 因此被希格斯场所减速 , 所以达不到光速 。 那具体是咋回事呢?
质能等价
在物理学界 , 即便是物理学的发展得到了前所未有的推荐 。 在一些基本的概念上 , 科学家们依然推荐得很痛苦 , 比如:质量 , 能量和光速 。 伽利略曾经就挑战过光速 , 而且他仅仅是尝试去测光速 , 却只能以失败而告终 。
本文图片
到了20世纪 , 有一个物理学界的天纵奇才出现了 , 他就是爱因斯坦 。 在他1905年发表了四篇极具开创性的论文 , 其中就包括大名鼎鼎的狭义相对论 。 除了狭义相对论 , 在当年最晚发表的一篇名为《质能等价》的论文是补充狭义相对论的 。
本文图片
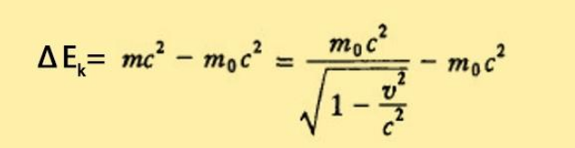
在这篇论文当中 , 爱因斯坦提出了一个大名鼎鼎的质能方程E=mc^2 , 这个方程是爱因斯坦用来描述质量和能量的关系的 , 其中就用到c^2 , 也就是光速的平方 。
本文图片
这个方程描述了一个等价关系 , 假设有个物体的质量是m , 那它所拥有的能量E就是mc^2 。 在推导质能方程的过程中 , 爱因斯坦论述了信息、物质、能量的极限速度是无法超越光速 。 如果要达到光速 , 那么静止质量只有等于0时 。
本文图片
后来科学家们发现 , 爱因斯坦这篇文章存在着循环论证的问题 。 不过 , 在几位物理学家和数学家的共同努力下 , 也最终拿出了十分严谨的证明 。 可能你要问了 , 凭什么信息、物质、能量的速度不能超过光速?
爱因斯坦当年只是用光速不变原理推导得到这个结果 , 但更深层次的原因并没有给出解释 。 不仅如此 , 实际上爱因斯坦也没有解释到底什么是质量?不过 , 后来有一批物理学家一并解决了这2个问题 。 那具体是咋回事呢?
希格斯场
科学家实际上是基于原子结构的研究从而解决这个问题的 。 我们都知道 , 原子都是由原子核和电子构成的 。 电子无法再分 , 而原子核还可以继续分为质子和中子 。 其中质子是带正电 , 中子是不带电的 。 可是你想过没有 , 原子核内有那么多质子 ,不应该因为同种电荷相排斥而被弹开吗?
其次 , 科学家还通过轰击质子和中子的实验发现 , 质子和中子也应该还可以再分更小的粒子 。 这种粒子后来被称为夸克 。
本文图片
除此之外 , 原子核还存在着衰变的现象 , 比如:β衰变 , 一个中子衰变成一个质子、一个电子和一个中微子 。
本文图片
基于这些现象 , 科学家提出 , 在宇宙中存在着四种基本作用力 , 分别是强相互作用 , 弱相互作用 , 电磁相互作用和引力 。 其中 , 强相互作用把夸克束缚在质子当中 , 也把质子束缚在原子核当中 , 因此它们的强度要大于电磁力 , 衰变则是由弱相互作用引起的 。
本文图片
科学家利用一套叫做规范场的理论 , 试图把四大相互作用统一起来 , 他们几乎完成了强相互作用、弱相互作用和电磁相互作用的统一 。 但是有一些科学家就发现了一个问题 , 这其实就是质量问题 。 根据这套理论 , 物质的质量到底从哪里来呢?
科学家发现 , 物质99%的质量来自于强相互作用把夸克束缚在质子和中子当中的能量 , 我们可以通过上文提到的质能等价计算得到 。 至于剩余的1%的质量则是来自于各种基本粒子的 。 这听起来其实很完美有没有?
可问题就出在 , 在规范场当中 , 夸克和电子这类基本粒子是不应该有质量的 。 其次 , 相互作用在规范场论当中可以看成是把某种粒子扔来扔去的结果 , 比如:强相互作用就是把胶子扔来扔去;而弱相互作用就是把W玻色子和Z玻色子扔来扔去;电磁力就是把光子扔来扔去 。 胶子和光子明明是没有质量的 , 可W玻色子和Z玻色子却有质量 , 这很是奇怪 。
本文图片
后来 , 为了解决这个问题 , 科学家不得不提出另外一个假设来给规范场论做补充 。 他们提出了希格斯机制 , 他们认为宇宙中遍布着一种场叫做希格斯场 , 当粒子通过时 , 希格斯场会和粒子发生作用 , 会导致粒子减速并获得质量 。 物质剩余的1%的质量就是希格斯场赋予的 。
本文图片
但是并不是所有的粒子都会和希格斯场发生作用 , 如果粒子的静止质量是0 , 那么它就不会和希格斯场发生作用 , 那它的速度就应该是光速 。 光子的静止质量是0 , 所以它没有被希格斯场减速 , 所以它的传播速度是光速 。
推荐阅读
- 王者荣耀:典韦蓝屏星元曝光遭吐槽,犹如红毛猩猩,玩家决不买账
- 科学探索|光电探测器量子效率突破理论极限
- “光盘打卡”小程序火了 激励年轻人节约粮食
- 梦幻西游:80W精锐第一法系戒指买家曝光,全号价值远超500W!
- 科学探索|当极光遇见气辉...NASA宇航员拍下绝美画面
- Xbox One S新版本曝光 售价仍然是300美元
- 微观青岛|青岛三浴,独享隐匿于山海间的时光
- 典韦新星元全面曝光,看完超清高能特效之后,玩家:吃土也要入手
- 上蔡知事|上蔡又一旅游景点曝光,你知道在哪吗?
- 再忆两岸战疫共情故事 台湾青年:相信自己是那打败黑暗的一道光
