新冠病毒|“汪星人”加入抗疫战队!新冠病毒检测率高达94%
本文图片
为什么大家喜欢把嗅觉灵敏的鼻子称为“狗鼻子” 。 因为狗拥有完全碾压人类的嗅觉系统 , 它的嗅觉约是人类嗅觉的1200倍 。 现代社会中 , 导盲搜救、犯罪破案、缉毒探险 , 都少不了“汪星人”的身影 , 它们甚至还被训练识别癌症 。 当前 , 全球新冠疫情(COVID-19)累计确诊已经超过1800万 , 面对如此严峻的形式 ,能否训练“汪星人”与我们一起并肩作战?
近日 , 来自德国汉诺威兽医大学和德国国防部队的研究人员在《BMC Infectious Diseases》(BMC传染病)上发表的一项研究证实 , 这是可行的:受过训练的探测犬可以通过识别呼吸道分泌物来区分新冠病毒(SARS-CoV-2)感染患者和未感染者 。
具体来说 , 研究人员从住院的COVID-19患者中收集了唾液样品和气管支气管分泌物样品 , 这些患者都经过鼻咽拭子检测被诊断为SARS-CoV-2阳性 。 阴性对照样品获自SARS-CoV-2阴性人群 , 他们从未有COVID-19的病史 , 近期也没有感冒或感染病史 。
参与研究的八只探测犬来自德国国防部队 , 为了保护它们及其训练员在训练期间不受感染 , COVID-19患者的所有样品都使用了β丙内酯(BPL)进行灭活 。
训练仅用了一周时间 , 这些探测犬就能区分新冠病毒感染者与未感染者 。 在训练的第二天 , 它们的平均检出率仅为50% , 而在第五天 , 该值增加到了70% , 在第七天甚至达到了81% 。 在这项受控的双盲检测研究中 , 总共进行了10388次样品展示 。
本文图片
训练期间向每只狗所展示的样本数量
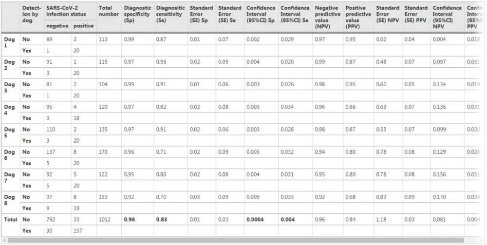
在随机1012个样本中 , 这些探测犬的总体平均检测率达到94%(±3.4%) 。 其中包括157个正确的阳性样本 , 792个正确的阴性样本 。 总诊断灵敏度为82.63%(95% CI:82.02–83.24%) , 特异性为96.35%(95% CI:96.31–96.39%) 。
本文图片
八只探测犬的检测性能
本文图片
所有探测犬的诊断特异性和敏感性
与细菌相比 , 病毒没有自己的新陈代谢 , 因此通过宿主代谢过程 , 被感染的人体细胞会释放出挥发性有机化合物 , 这使得病原体的特定气味可以被犬类探测到 。
最初 , 人们认为狗不会感染SARS-COV-2 。 但最近的单例感染报告显示 , 狗同样能被SARS-COV-2感染 。 因此 , 想要使用探测犬作为“生物检测武器” , 研究人员首先要解决的是 , 如何保证探测犬不被SARS-COV-2感染 。
对此 , 研究人员表示 , 目前正在开发新策略用于安全展示未灭活的样品 。
总结来说 , 这项研究提供了一种新的SARS-CoV-2筛查方法 , 但该结果仅为初步研究 , 还需要进一步研究以获得该检测方法在现场的适用性 。 如果该方法被启用 , SARS-CoV-2检测犬可以在各种公共场所中提供有效且可靠的感染检测技术 , 并可以作为常规RT-PCR筛选的替代或补充方法 , 这势必会极大地节约检测成本并提高检测效率 。
【新冠病毒|“汪星人”加入抗疫战队!新冠病毒检测率高达94%】同时 , 由于近期微信公众号改版 , 订阅号消息不再按时间排序 。 为了方便您继续收到我们的文章 , 您可按照图片中的操作将我们设为“星标” , 这样您以后就可以看到我们的消息啦 。
本文图片
End
参考资料:
[1] Scent dog identification of samples from COVID-19 patients – a pilot study.
本文系生物探索原创 , 欢迎个人转发分享 。 其他任何媒体、网站如需转载 , 须在正文前注明来源生物探索 。
推荐阅读
- 腾讯控股的保险代理平台“微保”被深圳银保监局处罚
- 台风|今年第7号台风“海高斯”生成 或将明天登陆我国广东沿海
- 被指“双标”特斯拉无奈服软 拼多多是最后赢家吗?
- 未来的大学生活“长啥样”? 来看学长为你写下的万字指南
- 吃鸡将迎来寻宝玩法?新地图遍地宝藏,“古老秘密”开启冒险
- the|新冠肺炎成美国第三大致死原因 仅次于心脏病和癌症
- 小区公共收益成为一笔“糊涂账”?定期公开收支是关键
- 《杀手3》“难寻目标”模式回归!幽灵模式被取消
- “光盘打卡”小程序火了 激励年轻人节约粮食
- 科学探索|揭秘星际物种起源:多个行星孵化器组成“生命之树”
