数学|电影院今天复工,应该如何排座位?这是个数学家研究了几百年的问题
晓查 编译整理
量子位 报道 | 公众号 QbitAI
今天 , 国内电影院在停业将近半年后终于复工了 。 为了保持合理的隔离距离 , 国家电影局规定每场电影的上座率不得超过30% 。
那么问题来了:
如果有一间要影厅要复工 , 在保持安全距离的情况下 , 如何才能尽可能多的安排观影人群?
这个问题 , 在当初办公室复工的时候也同样适用 。
本文图片
我们先来把这个问题转化成一个几何问题:
把每个人所在的位置看做圆心 , 隔离距离的一半(也就是3英尺)为半径画圆 。 怎样才能让这些圆排列得最密 。
这个问题在现实中似乎有个最佳答案 , 我们可以买来一箱汽水 , 看看厂商怎么排列一罐罐圆形的汽水的 。
本文图片
上面可乐罐的这种排列方法叫做“正方形堆积” , 因为将每个圆的圆心连接起来是正方形 。
本文图片
我们来算算这种饮料包装究竟能占据多少比例的空间 。
本文图片
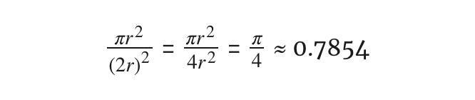
假设上图中圆的半径是r , 那么正方形的边长就是2r 。 圆的面积是πr2 , 正方形的面积是(2r)2 。
那么这种排列方法所占的面积比例为:
本文图片
也就是说平面有78.54%的面积被圆覆盖 , 这是正方形堆积的密度 。 难道这就是效率最高的排列方式了吗?
不难发现 , 其实还有一种排得更紧密的方法 , 将一排的可乐滑动到另一排的缝隙中 , 这种排列方式被叫做“六角堆积” 。
本文图片
这样圆之间的缝隙更小 , 排列的密度也更高了 。 实际情况怎样 , 我们来算算 。
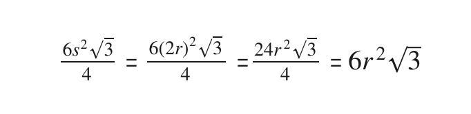
每个六角形内都是有1个整圆和6个1/3圆 , 所以相当于有3个整圆 。
本文图片
假设圆的半径是r , 六边形边长是s=2r , 根据六边形面积计算公式:
本文图片
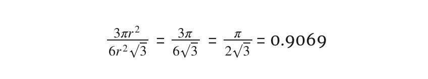
而一个六边形内共有3个整圆 , 所以圆占据的面积是:
本文图片
可以看到 , 填充率一下子提升到了90.69% , 六角比正方形排列的效率更高 。 实际上也没有其他方法比六角排列的填充率更高了 。
但这个显而易见的结论要获得严格的数学证明却非易事 , 包括拉格朗日、高斯等数学大神为之付出大量努力 , 直到1940年代 , 这个问题才得到严格证明 。
【数学|电影院今天复工,应该如何排座位?这是个数学家研究了几百年的问题】既然六角排列的效率更高 , 为何饮料要采用正方形排列?那是因为饮料外包装箱一般是方形 , 如果用六角排列 , 反而无法照顾到边角 。
倘若边角占据的面积较小 , 那么90.69%相比78.54%带来的提升还是能把边角浪费的空间弥补回来 。
到了三维空间 , 情况更为复杂 。 如何让球体排列的密度更高 , 需要一层一层来 。
第一层 , 我们用六角堆积的方式占据尽可能多的空间:
本文图片
每3个球体之间都有1个孔隙 , 按照二维空间的方式 , 把第二层球体插入到孔隙中 。 但是我们不可能把每个孔隙都放上球体 , 因为相邻孔隙之间的距离小于球体的直径 , 我们只能间隔插入 。 就像下面这样:
本文图片
接下来第三层怎么排列 , 有两种选择:
一种方式是堆积六角堆积(HCP) , 就是填补如下的孔洞:
本文图片
这样就相当于第三层球位置与第一层一样 。 从上面俯看下去 , 第一层和第三层重合 , 也就是ABABAB……的排列方式 。
本文图片
另一种是面心立方(FCC) , 填充以下位置:
本文图片
从上面俯看下去 , 一二三层互不重合 , 也就是ABCABC……的排列方式 。
本文图片
如果你小时候垒过玻璃球 , 那么一般都会垒成面心立方 。
巧合的是 , 两种排列方式占据的空间比例都是
本文图片
虽然填充空间的比例一样 , 但这在物理和化学中却是两种完全不同的排列方式 。
如果把球体看做是原子 , 那么怎么排列就决定了这种物质的晶体结构 , 也会影响其物理化学性质 。
六角堆积和面心立方是不是三维空间中最密集的堆积方式呢?
早在1611年 , 著名天文学家开普勒就提出了这种猜想 , 但是直到1998年 , 才由数学家托马斯·黑尔斯(Thomas Hales)提供完整的证明 。
至此 , 2维、3维的情况都已经完全解决 , 但是在维度更高的空间里 , 哪种方式的排列密度最高 , 数学家们一直没有解决 , 即使只是到4维 。
直到2016年传来了一个好消息 , 8维和24维空间的最密堆积问题已经被一位乌克兰女数学家Maryna Viazovska证明 。
本文图片
为何偏偏是这两种维数?因为随着维度的增加 , n维球与它的外切立方体的体积之比也越来越小 。 这一点有个直观的理解方法:
n维立方体有2^n个角 , 而边角是球体填充不到的地方 , 边角数会随着维度增加 , 所以球体填充率降低也在意料之中 。
8维和24维中的球体收缩得恰到好处 , 让球体之间的的孔隙正好能被另一相同同半径球体填充 , 从而获得了一种特殊的超密堆积 。
现在科学家已经解决了1、2、3、8、24维的最密堆积情况 , 还有更多的维度等着他们去探索 。
推荐阅读
- 科学探索|[图]今天SpaceX的星链发射任务将创造新的重要里程碑
- 今天的你,真好看
- spring框架之注解的使用
- 湖北宜昌|宜昌25家电影院已有24家复工 日均票房回升至7万元
- 高考班里倒数第一631分,数学偏科却145分,衡水中学让人又爱又恨
- 今天传遍微博的“女子防身视频”,到底是不是多年前的手游广告?
- 入学|小学网上报名首日未完成今天还能报 截至今日24时
- 招生|本科一批录取今天正式投档 22日8时-18时征集志愿
- 凤眼油盘才能上色?原来是这样
- 牛市又回来了?
