热辐射|“头盔热”的背后,是头盔“热”吗?
随着“一盔一带”安全守护行动的有序推进 , 警察叔叔们积极劝导、引领人们在骑行时佩戴头盔 , 市场上也迎来了一股“头盔热” 。 戴头盔可以大大减少交通事故的死亡风险 , 保护人们的生命 , 还能让你成为这条街(gai)上最靓的仔~

柯南和世良真纯的头盔 来源:名侦探柯南剧照
小编也为骑着小电驴上下班的母亲大人买了一顶粉嫩可爱 , blingbling的头盔 , 可是母亲大人在开开心心地戴了第一次之后 , 就提出了强烈抗议 。
生命如此宝贵 , 道理人人都懂 , 可是 , 为什么大家都不那么愿意佩戴头盔呢?
【热辐射|“头盔热”的背后,是头盔“热”吗?】对此 , 母亲大人表示戴头盔就像“享受”了一次烫发洗发头部桑拿三合一服务 , 体验极其酸爽 , 除了不具备美容功效!不愿意戴头盔的背后 , 究竟是对小编一片“孝心”的践踏(╬ ̄皿 ̄) , 是亲情的淡薄?还是...果真另有其因 , 戴头盔又闷又热?
真相…永远只有一个!小伙伴们和小编一起来推理推理 , 首先了解一下人体散热的四种方式(四种?热传递不是只有三种吗?小编是不是热傻了?) 。

真相只有一个 来源:名侦探柯南剧照
热辐射(thermal radiation)
自然界中的一切物体都在不停地以电磁波的形式向外辐射能量 , 由于热的原因而产生的电磁波辐射称为热辐射 。 黑体辐射的斯特藩-玻尔兹曼定律(Stefan-Boltzmann law )表明 , 一个黑体表面单位面积在单位时间内辐射出的总能量与黑体本身的热力学温度的四次方成正比:

其中 σ 为斯特藩-玻尔兹曼常数 , 约为 5.639 × 10-8W/(m2·K4) , T为黑体的热力学温度 。
黑体是一种理想化的辐射体 , 能够吸收外来的任意波长的辐射能量 。 可以通过构造一个带有小孔的空腔来模拟黑体 , 并认为外壳的透射系数为0 。 外界辐射通过小孔射入空腔中 , 被壳体不断反射与吸收 , 每经过一次吸收 , 辐射的能量大大减小 , 如果小孔相对于空腔足够小 , 可以认为辐射最后不能射出空腔 , 全部被带有小孔的空腔吸收 。

黑体的小孔腔模型 来源 | wiki
对于实际物体 , 辐射功率可以表示为:

其中 A 为物体表面积 , ? 称为发射率 , 能够衡量物体表面以热辐射的形式释放能量相对强弱的能力 。 物体的发射率等于物体在一定温度下发射的能量与同一温度下黑体辐射的能量之比 。 对于人体 , 人体皮肤的发射率非常接近 1.0 , 约为 0.98 。

人体辐射大部分以红外线的形式散发 来源 | wiki
当热辐射的能量投射到物体表面时 , 和可见光一样 , 也会发生吸收、反射和穿透现象 。 物体对不同波长辐射的吸收具有选择性 , 为了方便计算 , 往往认为物体对辐射的吸收与波长无关 , 并把这样的物体称为灰体 。 把人体模拟为灰体 , 人体对外界辐射的吸收功率为:

其中 ? 为吸收率 , 为物体吸收的能量与相同温度下黑体吸收的能量的比值 。
根据基尔霍夫热辐射定律(Kirchhoff's law of thermal radiation) , 物体的吸收率等于发射率 。 那么人体的净辐射功率为辐射功率与吸收功率的差值为:

人体的核心温度约为37℃ , 体表温度约为33℃ , 标准男性和标准女性的体表面积分别约为 1.7m2 和 1.5 m2 , 人体站立姿态时有效辐射面积约为体表面积的 0.73 倍 , 环境温度为 25℃ 时 , 标准男性和标准女性各自的净辐射散热功率约为 60 W 和 53 W 。
对流(thermal convection)
在温度差较小 , 传热机制保持不变时 , 可以使用牛顿冷却定律来描述对流散热:

其中 P 为人体传热的功率 , A 为人体表面积 , T 为人体热力学温度 , Tenv为环境热力学温度 , h 为传热系数 , 与流速有着密切的关系 , 这里假定 h 与温度无关 。
人体对流系数无风时约为3.4W/m-2·k-1 , 室温 25℃ 时 , 同上考虑到人体站立姿态的有效表面积 , 得到标准男性和标准女性各自的对流散热功率约为34 W 和30 W 。
传说伊斯兰教的教主穆罕默德有一次指着远处的大山对周围的教徒说:“我只要念几句咒语 , 这座山就会移到我面前来 。 ”许久过后 , 大山还是一动不动 。 为了缓解尴尬 , 挽留自己的尊严 , 穆罕默德就腾腾地跑到山跟前 , 说出了那句名言:“山不来就我 , 我便去就山 。 ”这个故事从运动的相对性角度来看 , 把山看做风 , 可以知道 , 如果风没有吹过来 , 我们可以自己动起来 , 增大对流以及散热 。 我们通过制造强制对流 , 比如吹电风扇 , 来增加相对风速 , 可以达到在炎炎夏日降温的作用 。
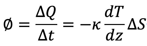
热传导(heat conduction)
可以用傅里叶热传导定律(Fourier law of heat conduction)来模拟人体通过热传导散失的热量:

其中 κ 为热导率 , ΔT 为温度梯度 , ΔS 为物体的接触面积 。
许多情况下 , 只考虑一个方向的热传递 , 于是有一维情况的傅里叶热传导定律:

由于空气是热的不良导体 , 因此几乎不会发生传导 , 一般情况下我们可以忽略人体的传导散热 。
蒸发散热(evaporation)
除了对流、传导、辐射这三种热的传递方式以外 , 对于人体而言 , 蒸发散热也是一种重要的散热方式(敲黑板) 。 当人体剧烈运动或者环境温度高于皮肤温度时 , 蒸发散热成为人体的主要散热方式 。

人体与外界热量传递 by 梦乙
人体的蒸发散热分为两种形式:不感蒸发和发汗 。 不感蒸发是指体液中的水分直接透出皮肤和粘膜表面 , 在没有聚合成肉眼可见的汗液之前就已经蒸发掉的过程 。

通过肺部的不感蒸发
发汗即指水分聚合成了肉眼可见的汗滴 。 在汗液由液相蒸发为气相的过程中 , 会吸收大量的热量 , 称为液气相变的潜热 。
从微观上看 , 液体分子的热运动动能各有不同 , 只有动能较大的分子能够克服其他粒子的吸引作用逸出液体 , 在克服吸引力做功的过程中 , 会消耗掉液体的一部分内能 。

液体蒸发微观图 [17]
当我们走出泳池的时候 , 微风拂过 , 加速了身体表面水分的蒸发 , 因此感到阵阵凉意 。 人们在中高强度的运动时 , 仅头部的蒸发散热量就达10.3-38W , 随着运动强度的上升 , 头部的散热量会有所增加 。 与前面得到的辐射散热和对流散热功率相比 , 运动时头部在散热中起到了很重要的作用 。

液体蒸发微观示例[18]
【热辐射|“头盔热”的背后,是头盔“热”吗?】人可以通过全身蒸发散热 。 汗液中的水分含量高达99% , 在运动时 , 能够大量出汗 , 借助汗液的蒸发保持高效的散热 。
体质人类学对人类的起源的一个假说与此相关:人类皮肤的裸露是为了更好地散热 。

人类起源假说[19]
像狗狗、猎豹等动物 , 皮肤上的大多数汗腺的分泌物以蛋白质和脂肪为主 , 水分含量很少 , 降温效果很差 。 在他们的鼻头和四个爪子的肉垫上也分泌有汗腺 , 这些汗腺分泌物中的水分含量较高 , 但是汗腺数量太少 。 因此 , 在炎热的夏天 , 狗狗只能通过舌头分泌唾液 , 借助唾液的蒸发散热来代替汗液散热 。
猎豹是陆地上跑得最快的动物 , 但是最多只能跑3分钟 , 一个重要的原因是猎豹无法很好地散热 , 长时间跑步会使猎豹体温骤升 , 损伤大脑等重要器官 。 人类由于拥有良好的散热能力 , 虽然跑得不是很快 , 但却是跑步时间最长的动物之一 。 (说不定 , 在远古 , 我们的祖先专门在炎炎夏日 , 追逐大型食草动物 , 等它们热得不行了 , 追上它们 , 把它们扛回家去 , 饱食一顿 。 )

当我们戴头盔时 , 究竟发生了什么

戴上头盔时的热传递 by 梦乙
对于没有开孔或通风不良的头盔 , 可以把头盔内壳与头皮之间的空间模拟为一个封闭腔 , 头盔的舒适内衬看作封闭腔中的一个物体 。 将头盔对辐射的透射系数近似为0 , 可以认为头皮发射到头盔的热辐射全部被吸收或反射回封闭腔中 。 头皮发射的热辐射被头盔的舒适衬里或头盔内壳吸收与反射 , 反射的热辐射再次被吸收与反射 。 每经过一次反射与吸收 , 热辐射的能量大大减小 , 最终可以看作头皮发射的热辐射全部被封闭腔吸收了 。
对比前面提到的黑体的小孔腔模型 , 我们构造出的封闭腔也可以看作一个理想的黑体 , 只不过辐射不是来自外部 , 而是来自封闭腔的一个表面——头皮 。 另一方面 , 头盔可以阻挡一部分的太阳辐射 , 尤其是在太阳辐射很强的天气里 , 可以保护头皮和头发免受伤害 。
在封闭腔中 , 仅在腔内存在局部的小对流 , 腔内的空气与外界缺乏有效的对流 。 对于头部 , 由不带头盔兜风时的放飞自我变为效果上的无风 , 减少了对流散热 。 (传导散热由于数值很小 , 可以忽略不计 。 )
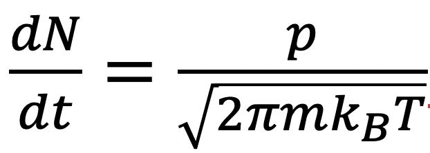
人们在较为炎热的天气里骑车 , 或进行剧烈运动时 , 头皮大量分泌汗液 。 小编决定使用一个最简洁优雅的式子来模拟汗水的蒸发 , 把汗液看作水蒸气分子数密度极大的气体 , 再把汗液和头顶与头盔之间的空气均看作理想气体 , 得到赫兹-努森方程(Hertz–Knudsen equation):

其中 P 为水蒸气分压 , m 为单个分子的质量 , kB为玻尔兹曼常数 , T 为汗液的热力学温度 , N 为分子数 。 这个方程描述了单位时间内从单位面积汗液中逸出的分子数目 , 同理 , 单位时间内从空气中回到汗液中的水分子数目也可用此公式表示 , 只需要将压强换为头顶与头盔之间的空气中的水蒸气分压 , 考虑空气与头皮的温度近似相等即可 。 得到单位时间内单位面积头皮汗液的蒸发速率为:

由于缺乏有效的空气对流 , 封闭腔内的空气无法得到有效的更新 。 随着汗液的蒸发 , 空气中的水蒸气分压不断增大 , 汗液的蒸发速率越来越慢 , 无法通过相变带走足够的热量 。
尤其在极为炎热的天气里 , 环境温度高于皮肤温度时 , 人体实际上会通过对流、传导、辐射获得热量 。 这时候 , 蒸发散热成为人体唯一的散热方式 。 如果头部蒸发散热受到阻碍 , 会让人感觉又闷又热 , 大有酷暑蒸桑拿的体验感 。

汗液难以蒸发[20]
一些研究使用出汗的头部模型 , 对戴头盔与不带头盔的头部模型进行了温度测量 。

在环境温度保持在20.5±0.5℃ , 头部皮肤温度保持在30.5±0.5℃时 , 对于不戴头盔的头部模型 , 蒸发热传递占头部总热损失的51%–53%左右 , 可见蒸发散热对于头部散热的重要性 。

一项实验中五组头部模型的温度(BH为不戴头盔的模型 , 其余四组为佩戴不同头盔的模型)[7]
那么 , 如果在头盔顶部加几个通风口是不是就不会那么热呢?
在一项研究中 , 分别对戴有前后开口、侧面开口、不开口的全盔和不戴头盔的出汗头部模型进行了测量 。 结果显示在风速为3m/s的条件下 , 四组头部模型单位时间的散热量分别为364、331、401、576结果也表明戴头盔能够减少头部的散热 , 使得头部的散热量减少了 , 对于戴有头盔的模型 , 前后开口、左右开口能够增加一些散热 , 但是作用效果不是很显著 。
对于全盔 , 即使增加开孔 , 也只会少量增加开孔 , 不会像自行车头盔一样 , 拥有大量的开孔 。 二者设计的不同 , 与骑摩托车与自行车时骑行速度 , 公路条件 , 运动强度的差异有关 。 全盔上设计更为合理的开孔 , 能够帮助增加骑行过程中头部的散热 。

摩托车全盔和自行车头盔[20,21]
至此 , 戴头盔会使人感到闷热遭到实锤 , 小编妈妈表示大有冤情 。
漫漫头盔路
尽管头部的面积相对较小 , 但头部是最容易受到热刺激的区域之一 , 也是实现热舒适的最重要的身体部位之一 。 戴头盔导致的头部散热的减少、汗液的积累给人一种潮湿的感觉 , 会导致不适 。 一项对来自24个不同国家和地区的人的调研中 , 有七分之三的人由于感到闷热而不戴头盔 。
另一方面 , 研究表明 , 在炎热的环境中 , 头盔确实会影响局部皮肤温度和出汗率 , 但不会影响更一般的生理参数 , 如核心体温、心率 , 与中暑也没有直接的关系 。
生命诚可贵 , 小编还要唠叨几句 , 为了安全 , 各位骑行的小伙伴要记得佩戴合适的头盔 , 成为这条街(gai)上最靓的仔 。

头盔的分类 by 梦乙
小编给母亲大人买的是保护效果最好 , 但也最闷的全盔(向母亲大人求饶~) 。 其实照母亲大人骑小电驴的速度(龟速…)来看 , 完全没有必要买全盔 , 半盔即可满足基本的安全保障 。 看来是小编买头盔时考虑不周 , 我准备重新整装再次出发 , 为母亲大人买一个透气性好一点的头盔(保护效果会因此略有下降) , 比如(粉嫩可爱的)半盔 , 重新踏上劝说老母亲戴头盔的艰辛之路…
参考文献:
[1]刘玉鑫.热学[M].北京大学出版社 , 2019
[2]杨世铭 , 陶文铨.传热学[M].高等教育出版社 , 2006
[3] Jablonski NG (2010) The Naked Truth Recent findings lay bare the origins of human hairlessness-and hint that naked skin was a key factor in the emergence of other human traits. Scientific American 302: 42–49.
[4]Cornelis P. Bogerd,Jean-Marie Aerts,Simon Annaheim,Peter Br?de,Guido de Bruyne,Andreas D. Flouris,Kalev Kuklane,Tiago Sotto Mayor,René M. Rossi. A review on ergonomics of headgear: Thermal effects[J]. International Journal of Industrial Ergonomics,2015,45.
[5] Kanesalingam Sinnappoo, Rajkishore Nayak, Lachlan Thompson, Rajiv Padhye. (2020) Application of sustainable phase change materials in motorcycle helmet for heat-stress reduction. Journal of the Textile Institute 0:0, pages 1-9.
[6] Gisolfi CV, Rohlf DP, Navarude SN, Hayes CL, Sayeed SA. Effects of Wearing a Helmet on Thermal Balance While Cycling in the Heat. Phys Sportsmed. 1988;16(1):139‐146. doi:10.1080/00913847.1988.11709412
[7] Fitzgerald, S.; Atkins, H.; Leknys, R.; Kelso, R. A Thermal Test System for Helmet Cooling Studies. Proceedings 2018, 2, 272.
[8]Satoru Ueno,Shin-ichi Sawada. Effects of ventilation openings in industrial safety helmets on evaporative heat dissipation[J]. Japan Society for Occupational Health,2019,61(2).
[9] https://en.wikipedia.org/wiki/Black-body_radiation
[10] Catherine O’Brien,Bruce S. Cadarette. Quantification of head sweating during rest and exercise in the heat[J]. Springer-Verlag,2013,113(3).
[11] Science - Applied Sciences; Researchers from University of Antwerp Describe Findings in Applied Sciences (Thermal-Performance Evaluation of Bicycle Helmets for Convective and Evaporative Heat Loss at Low and Moderate Cycling Speeds)[J]. Science Letter,2019.
[12]康建胜.从能量角度粗谈人体的几个定量问题[J].生命的化学,2013,33(05):588-595.
[13] Saud Ghani,Esmail Mohame Ali Ahmed ElBialy,Foteini Bakochristou,Seifelislam Mahmoud Ahmad Gamaledin,Mohammed Mohammed Rashwan. The effect of forced convection and PCM on helmets’ thermal performance in hot and arid environments[J]. Elsevier Ltd,2017,111.
[14] https://en.wikipedia.org/wiki/Black_body
[15] https://en.wikipedia.org/wiki/Black-body_radiation
[16] https://engineer-educators.com/lessons/3-heat-transfer-from-the-human-body
[17]https://sites.google.com/site/svgphysics/topics-2013--2014/evaporation-and-boiling
[18] https://www.toppr.com/content/story/amp/evaporation-94909/
[19] ted-ed:Why do we sweat?
[20] https://cdn.dribbble.com/users/742615/screenshots/3293621/droppen.gif
[21]http://www.suomy.com/it/collezioni/racing-collezione/sr-sport/scheda-srsport.html
[21]https://cn.hibike.com/met-crossover-p12fbae53718181de2213464ffe02f27e
来源:中国科学院大学投稿
作者:梦乙
审校:林晓
编辑:aki
推荐阅读
- 腾讯控股的保险代理平台“微保”被深圳银保监局处罚
- 台风|今年第7号台风“海高斯”生成 或将明天登陆我国广东沿海
- 被指“双标”特斯拉无奈服软 拼多多是最后赢家吗?
- 未来的大学生活“长啥样”? 来看学长为你写下的万字指南
- 吃鸡将迎来寻宝玩法?新地图遍地宝藏,“古老秘密”开启冒险
- 小区公共收益成为一笔“糊涂账”?定期公开收支是关键
- 《杀手3》“难寻目标”模式回归!幽灵模式被取消
- “光盘打卡”小程序火了 激励年轻人节约粮食
- 科学探索|揭秘星际物种起源:多个行星孵化器组成“生命之树”
- 识别“95”号段中的“李鬼” 这些小技巧要掌握!
