太平洋电脑网@新AI系统可通过无创ECG数据追踪人体血糖水平
[PConline 资讯]几十年来 , 医疗诊断设备的一大特色是无创血糖监测器 。 从腕表到隐形眼镜 , 尽管出现各种各样的创新 , 但能够连续监测血糖水平而不破坏皮肤的设备这种诱人梦想还未能实现 。 华威大学(University of Warwick)的研究人员现在正在展示最新的前瞻性技术 , 利用人工智能从简单的心电信号中检测出低血糖信息 。
这项新研究的研究者Leandro Pecchia解释说:“手指采血从来都是不快乐的过程 , 在某些情况下尤其麻烦 。 在夜间特别是对于小儿科患者而言 , 在夜间指尖采血更是令人不快的过程 。 我们的创新在于利用人工智能通过几次心电图跳动来自动检测低血糖 。 这一点很重要 , 因为在任何情况下(包括睡眠)都可以检测到心电图 。 ”
华威大学团队取得的关键突破是开发一种可以学习单个患者的ECG节奏的AI系统 。 由于在不同受试者中发现的信号种类繁多 , 因此通过ECG数据调查血糖追踪的先前研究未能成功 。 由于ECG数据的异质性 , 因此没有机器学习系统能够成功获取大量的ECG记录并找到与个体血糖测量相关的通用模式 。
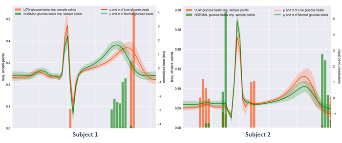
如下图所示 , 两个受试者之间低血糖的心电图测量结果可能截然不同 , 这意味着前进的唯一方法是开发一种可以检测每个患者个性化波动的AI系统 。
文章图片
Pecchia说:“上面强调的差异可以解释为什么以前使用ECG检测低血糖事件的研究失败了 。 这些受试者间的差异将阻碍通过队列ECG数据训练的AI算法的性能 。 我们的方法可对检测算法进行个性化调整 , 并强调降血糖事件如何影响个人的心电图 。 ”
在新发表的期刊文章中 , 为了探讨这种新型系统的功效 , 研究人员报告了两项初步研究的结果 。 在健康志愿者中 , 该系统能够以82%的准确度检测低血糖事件 。
当然 , 如前所述 , 这并不是第一个在早期试验阶段被证明有效的非侵入性葡萄糖监测系统 。 研究人员对于这个系统离市场有多远持务实态度 , 他们还需要做大量的工作来验证和完善这项技术在更大的患者群体中的应用 。 然而 , 这项研究也指出 , 这个心电图框架可以被纳入一个更广泛的血糖跟踪系统 , 该系统使用其他非侵入性生理信号 , 如身体活动水平、皮肤电导率和营养信息 。
这项新研究发表在《科学报告》杂志上 。
【太平洋电脑网@新AI系统可通过无创ECG数据追踪人体血糖水平】文章编译来源:NewatlasPConline编译作者:栗子
推荐阅读
- 吉林丰满鱼道系统就绪静待松花江鱼类洄游产卵
- 银行系统的研发岗(程序员)是不是很难进(校招)推广到国企的研发岗(程序员)呢
- 普通车|德系商务风对阵美式运动范 迈腾 VS 迈锐宝XL
- 5.1声道片源对于没有5.1硬件系统的用户来说有意义吗
- 普通车|选商务还是要运动? 迈腾 VS 君威
- |徐州市出台《关于优化创新创业生态系统 提升区域科技创新活力的实施意见》及实施细则
- 商家通过低保户购物而把自己的利润返还赠送低保户安装宽带或者旧电脑可行吗
- |奥迪开发基于C-V2X校车警示系统
- 当下电脑城/电子城/数码城的业务日益萧条,作为普通的创业者该怎样转变思路从而突围
- 企业信息化系统可否自己搭建
