文章插图
最近 , 闲暇时候会看《疑犯追踪》(Person of Interest)来减压 。 有一集是关于最著名的数学常数——圆周率π ,π等于周长与直径之比 , 一般近似为3.14159 。 芬奇先生(主角)担任代课老师 , 并在黑板上写了3.1415926535 。 然后他问学生 , 这是什么意思?
我在心里回答着这个问题 , 如果有一个直径为1的自行车轮胎 , 那么自行车轮胎转一圈的距离就是π 。 然而 , 电影里却没有人回答 。 然后芬奇先生自己回答了这个问题:
文章插图
疑犯追踪 , 第二季 , 第11集截图
圆周率 , 即圆周长与直径之比——3.1415926535——仅仅是个开始 。 它会一直持续下去 , 不会重复 , 也就是说在这串小数中包含了其他的数;你的出生日期 , 你储物柜的密码 , 你的身份证等等 , 都在这个小数的某个地方 。 如果你把这些小数转换成字母 , 你会得到每一个曾经存在过的单词以及每一种可能的组合;你小时候说的第一个音节 , 你的名字 , 你的整个人生故事 , 还有我们说过或做过的每一件事 。 世界上所有的无限可能都在这个简单的圆周率里 。 现在 , 你会用这些信息做什么?它有什么好处?那就看你的了!
虽然这不太准确 , 但我很喜欢 。 世界上大多数教师都在努力成为像芬奇先生这样优秀而有趣的老师 。 他将这一主题扩展到课本之外 , 并使学生保持专注 。
文章插图
这是一些关于圆周率的书:利兹·兹姆斯卡的《奇妙的圆周率》、彼得·贝克曼的《圆周率的历史》、欧吉妮娅·程的《怎样做圆周率》 。
但芬奇先生错了 , 因为数学家还没有证明圆周率具有“正态性”的特征 。 换句话说 , 数学家们不确定π是否包含从0到9的所有有限长的数字排列 。
没有人知道我们会在π数字中找到什么 。 例如 , 当我们检查π的前10亿位数时 , 我们看到数字7出现了近1亿次 。 这使得π成为一个优秀的随机数生成器 , 因为得到数字7的概率应该是10% 。 然而 , 在某些点之后 , π可能不包含数字7 , 而是有一个只有两位数或三位的非重复数字 , 如010203112233000111222333 。
在π的前761位之后 , 有一个著名的数学巧合 , 即6个9连续出现 , 这被称为费曼点 。
但是我们可以肯定的是 , π的数字是无限的 , 而且是随机的 。 这种随机性让π变得有趣 , 因为π的值是有上限的 , 然而 , 它的十进制值是无限长的 。 π是一个常数 , 因为它是一个圆的周长和直径的比值 , 这是一个有限的值 。
1768年 , 约翰·兰伯特证明了π是一个无理数 。 22/7是一个常用的近似值 , 但它并不包含π的所有数字 。
文章插图
兰伯特的证明中的公式
1882年 , 费迪南德·林德曼证明了π是一个超越数(超越数是另一篇文章了) 。
数学家金田康正(Yasumasa Kanada)发现 , π的前一万亿位数在统计学上是随机的 。 他的计算花了600多个小时 。
π的前一万亿位中每个数字出现的次数
多年之后 , 2019年 , 艾玛遥岩男(Emma Haruka Iwao)用电脑花了121天的时间 , 计算出了π的前34.1万亿位 。 超级计算机仍在计算π的值 。
回到芬奇先生的话题上 , 我们发现他并不是完全错了 。 我们可以很容易地在π中找到我们的生日 。
如果π是一个正规数(是数字显示出随机分布 , 且每个数字出现机会均等的实数) , 那么我们可以说我们的整个命运都被π编码了 。 我们将来拍的照片将是在π里 。 就连这篇文章也在π里存在了几千年 。 此外 , 所有生物的DNA都在π中 。 芬奇先生可能是对的 , 但我们还不确定 。
有一种有趣的方式来显示π的随机性 。 一些艺术家使用颜色进行数据可视化 。 马丁·沙兹温斯基就是这样一位艺术家 , 他在π的随机性中发现了美和艺术 。 他取π的数字 , 并给每个数字不同的颜色 。 例如 , 他让3为橙色 , 1为红色 , 4为黄色等等 。 然后他做了一张漂亮的海报 。 如果你仔细看 , 你看不到任何特定的图案的颜色 。
文章插图
文章插图
此外 , π还有很多迷人的事实 。 它也是迄今为止数学史上研究最多的数字 。 几个世纪以来 , 数学家们一直在努力精确地计算π 。
图片来源:今日美国的 。
那么 , 我们应该停止对π的研究 , 还是继续寻找一个更好的近似?假设π等于3.14就足够了吗?或者 , 用40位π来求出银河系的周长 , 误差小于一个质子的大小!前152位数π足以计算出可观测到的宇宙的周长 , 但这够了吗?
有数百位数学家多年来一直在努力计算出更精确的π 。 但是为什么呢?数学家们为什么要计算这么多位数的π呢?为什么π的34.1万亿位还不够?
这是因为π是一个随机数生成器 。 然而 , 真正的原因是 , 各国可以向其他国家展示他们的科技实力 , 因为计算万亿位数的圆周率需要一个强大的计算机 。 因此 , 要求计算机计算π被称为“压力测试” , 它可能会导致计算机崩溃 。
1962年9月12日 , 约翰·肯尼迪发表了关于太空计划的演讲 。 他说:
文章插图
到目前为止 , 外层空间还没有战争、偏见和国家冲突 。 它的危险对我们所有人都是有害的 。 征服地球值得全人类付出最大的努力 , 和平合作的机会可能永远不会再来 。 但有人问 , 为什么是月球?为什么选择这个作为我们的目标?他们可能会问为什么要爬最高的山?我们选择去月球 。 我们选择在这个十年去月球 , 不是因为它们容易 , 而是因为它们很难 , 因为这个目标将有助于组织和衡量我们的最佳精力和技能 , 因为这是一个我们愿意接受的挑战 , 一个我们不愿推迟的挑战 , 一个我们打算赢得的挑战 , 还有其他的挑战 。
我们不可避免地与过去联系在一起 , 而π是贯穿整个人类历史的一条线 。 这就是为什么我们可以说 , 只要有人在 , 就总会有人想知道接下来会发生什么 。 我向你们保证 , 在世界上的某个地方 , 有一位数学家或科学家在用π做一些对宇宙很重要的事情 , 因为π仍然是自然界的神秘常数 。
发现π
前面的说法完全正确 , 因为一直都有人在研究π 。 数学和文明一样古老 。 人类研究π已经将近4000年了 。 当最后的猛犸象灭绝时 , 人们正在探索π 。 据我们所知 , 古希腊的阿基米德是最早计算π的人之一 。 但是他是如何估算π的值的呢?
首先 , 他认为所有的多边形都是一个圆 。 根据阿基米德的理论 , 如果不断增加一个多边形的边数 , 你就会更接近完美的圆 。 换句话说 , 五边形比正方形更圆 , 而六边形比五边形更圆 , 以此类推 。 因此 , 传奇数学家阿基米德在两千多年前就把圆定义为有大量边的正多边形 。
文章插图
单位圆内的多边形
他找到了一种计算圆周长的方法 。 首先 , 他画了一个与一个圆周长相接的正方形 , 计算出了这个正方形的周长 。 然后 , 他又画了一个边长与这个圆相接的正方形 , 求出这个正方形的周长 。 他的结论是 , 圆的周长必须在这两个正方形的周长之间 。
然而 , 当他使用平方时 , 这两个值之间的差相当大 。 所以 , 他画了五边形来计算圆周的上下界 。 他得到了一个更小的范围 。 在那之后 , 他不断增加多边形边数 。 每增加一条 , 计算难度就增加很多 。 阿基米德得到了一个96条边的正多边形 。 他当时发现π的下限和上限分别是3.1408和3.1429 。
文章插图
阿基米德计算π的方法 。 阿基米德用一个96边的多边形计算π , 精度达到了万分之一 。
阿基米德的方法需要改进 , 因为他的寿命不够长 , 无法徒手计算出更精确的π 。 数学家们需要发现更有效的方法 。
但一开始 , 人们用符号来表示数字 。 例如 , 假设你和你的邻居一起有75匹马 , 而你有35匹 。 你要计算出你的邻居有多少匹马 。 没有代数 , 这个计算要花很长时间 。 但在代数被发现之后 , 这就很简单了 。 在这个例子中 , 我们可以写75 = x + 35 , 其中x是你邻居的马的数量 。 写出这样一个方程 , 用变量代替数字 , 在古典世界是革命性的 。
【圆周率|宇宙中的圆周率与圆周率中的宇宙,圆周率——“数字中的神”】数学家们对代数的采用激发了一种全新的看待世界的方式 。 计算π的下一个重大飞跃是微积分的发明 。 从那以后 , 数学家们开始研究无穷级数 。
无穷级数是一个数列相加直到无穷的表达式 , 有时这些无穷级数收敛到一个特定的值 。
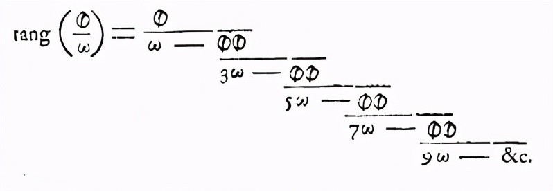
詹姆斯·格雷戈里(James Gregory)找到了下面π的方程 。 他用于下面的反正切函数 , 研究一个无穷级数 , 得到π:
文章插图
他把x = 1代入反切级数 。 然而 , 为了得到π的10位 , 我们需要写出大约50亿个分数来相加 。
文章插图
文章插图
格雷戈里级数是由格雷戈里和莱布尼茨共同求出的π公式 , 将x=1代入莱布尼茨级数中得到 。
另一位伟大的数学家莱昂哈德·欧拉 , 他在28岁时发现了一个更有效的π方程 , 他正式采用希腊字母“π”作为数值的符号 。 欧拉的π方程计算一个无穷级数的和 。 巴塞尔问题就是以他的名字命名的 。
文章插图
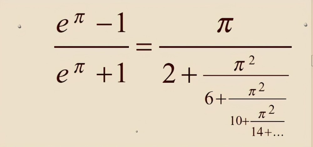
欧拉还用π写出了另一个漂亮的方程 , 欧拉恒等式 。
文章插图
欧拉恒等式涉及数学中五个最常见的常数 。
尽管虚数不是实数 , π可以使虚数变为实数 。 如果你用计算器算一下 i^i, 你会得到0.2078795763507619085469...。 这个证明完全和π有关 。 下面 , 你可以看到为什么i^i是实数 。
文章插图
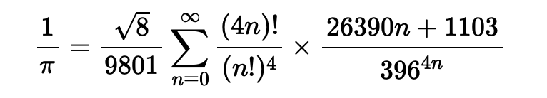
多亏了天才数学家拉马努金对π的痴迷 , 才有了许多新的π计算公式 。 当他到达剑桥时 , 他带来了一个笔记本 , 里面有400页寻找π的公式 。
文章插图
文章插图
计算机发明之后 , 数学家们使用莱布尼茨、欧拉和拉马努金的无穷级数来计算π的一万亿位小数 。
π无处不在
π在宇宙中无处不在 , 在我们的生活中无处不在 。 它实际上已经融入了我们的宇宙、行星的轨道、电磁波、河流、极光的颜色、DNA的结构、吉萨大金字塔……
文章插图
π是三角正弦和余弦函数的一部分 。
因为任何涉及到圆、球的东西都是关于π的 , 所以如果一个科学家想要描述宇宙的结构或者找到行星之间的关系 , 他就需要使用π 。 圆在自然界中随处可见 , 无论是肥皂泡还是夜空中的月亮 。 这就解释了为什么数学在所有科学领域都是必不可少的 。 π帮助我们看到隐藏在不同物理过程背后的数学思想 。
文章插图
圆周率和蜿蜒的河流之间的联系
圆周率与地球上的河流有着直接的关系 。 为了弄清楚这一点 , 我们需要用两种不同的方法测量河流的长度 。
假设我们知道河流的起点和终点 。 首先 , 我们需要实际长度来看看这条河有多弯 。 换句话说 , 准确的长度就是你从起点游到终点所需要的距离 。 这整个长度是L 。 第二 , 我们需要找到一条直线 。 换句话说 , 这一次 , 我们需要从头飞到尾 。 这条直线是小写的l 。 现在我们可以用L除以l来写出弯曲度的公式 。 弯曲度是一个比率 , 用来衡量河流的弯曲程度 。
文章插图
文章插图
这个比率经常收敛到(但很少超过)3.14 , 大致是pi 。
这里重要的是弯曲度是没有限制的 。 这条河有时很弯 。 然而 , 汉斯·亨里克·斯托伦(Hans-Henrik St?lum)证明了世界上河流的平均弯曲度是π 。 如果找到所有河流的弯曲度并取平均的弯曲度 , 你会得到π 。
文章插图
关于弯曲度还有一个有趣的事实 。 河流有时会很弯曲 。 我们期望有很高的弯曲度 。 但是突然 , 这些河流变直了 , 使得弯曲度为π 。 因此 , 由于流体动力学的原因 , 很难找到一条河流的弯曲度等于7 。 数学家们发现 , 最高的弯曲度在3.5左右 , 最低的弯曲度在2.7左右 。
河流在一段时间后会开始变得非常混乱 。 然后他们突然又恢复正常了 。 在极弯处 , 河流经过弯点后截断 , 又变直 。 这种现象被称为牛轭湖 , 它控制着河流的曲折 。 这就保证了一条围绕π的河流的弯曲度 。
文章插图
太空中的π
在我们的宇宙中有一种固有的数学秩序 。 例如 , 要了解我们的太阳系 , 我们需要π 。 我们知道行星在它的主星前面移动 。 光来自主星 。 为了讨论这个光 , 我们需要知道主星有多大 。 换句话说 , 我们需要主恒星的表面积 。 球体的表面积公式为4πr^2 , r为恒星的半径 。 行星的大小也有助于科学家猜测它是否适合居住 。
另一个展示π与宇宙关系的例子是静电力 , 静电力是两个电荷之间的力 。 电子向各个方向施加力 , 形成一个球体场 。 电子也在电场中相互作用 。 为了找出这种相互作用 , 我们需要找到球的表面积(π出现的地方) 。
π和引力之间也有联系 。 如果你看爱因斯坦的场方程 , 你可能会注意到π也在那里 。
文章插图
上面的公式计算了大质量的物体 , 如恒星和星系 , 如何通过它们的引力使空间和时间弯曲 。 爱因斯坦说 , 就像一个球在床单上一样 , 任何形式的动量和能量也可以弯曲它周围的时空 。
因此 , π是宇宙和宇宙中所有物体的引力、能量和动量的一部分 。 如果你取地球引力常数的平方根 , 几乎得到π 。 我不认为这是巧合 。
文章插图
文章插图
π是光波的一部分 。 波创建颜色 。 波产生的声音 。 波创造运动 。
在自然界中寻找
无穷级数不是找到π的唯一方法 。 你可以自己做一些很酷很有趣的实验来估算π 。 其中一种叫做蒙特卡罗方法 。
假设你在1x1网格上实验 。 你在0和1之间生成一对来绘制坐标平面上的点 。 你会发现有些点到原点的距离小于1 , 有些会大于1 。 在某个点之后 , 你会看到你得到1 / 4个圆 。 如果你求出四分之一圆的面积 , 它几乎是π/4 。
文章插图
如果你不想编程 , 你可以只用一支笔和一张纸来做 。 你只需要画一个半径为1的圆 , 然后在圆周围画一个正方形 。 正方形的面积必须是4 , 因为圆的直径是2 。 现在 , 如果你拿起铅笔 , 闭上眼睛 , 在纸上随机画很多次点 , 最终 , 你的点落在圆内的百分比将接近π/4 。
布冯的针
在没有互联网的时候 , 孩子们常玩在地上抛硬币看硬币是否越过一条线的游戏 。 一位法国哲学家和数学家 , 乔治-路易斯·勒克莱尔 , 决定测定硬币越过一条线的概率 。
他先把一根针扔在一张有横线的纸上 , 然后确定针穿过纸上某条线的概率 。 然后他用很多针做了很多次实验 。 他得到了一个显著的结果 。 概率与π值直接相关 , 因为2乘以他投下的针数除以穿过一条线的针数几乎等于π 。
意大利数学家勒克莱尔 , 马里奥·拉扎里尼 , 为了做这个实验 , 扔了近4000次针 。 他精确地得到了π 。 他算到了π的小数点后六位 。
π的自行车
2017年 , 马汀·库曼(Martijn Koomen)和塔达斯·马克西莫娃(Tadas Maksimovas)设计了一款功能齐全的圆周率自行车 , 其形状是数学符号π 。
文章插图
文章插图
π日
经过长期对π的研究 , 人们决定在3月14日举行一次正式的庆祝活动 , 庆祝π的诞生 。 自1988年以来 , 人们在3月14日庆祝这个神奇的常量 。 爱因斯坦生于1879年3月14日圆周率日 , 这是一个有趣的巧合 。 爱因斯坦还在圆周率日发表了他的广义相对论 。
文章插图
文章插图
总而言之 , 数学是一种铭刻在人类大脑中的语言 。 肯尼迪知道月球并不是无限遥远的 , 他做到了 。 我相信有一天伟大的数学家会揭示π的所有秘密 。
想了解更多精彩内容 , 快来关注老胡说科学
推荐阅读
- 宇宙|我们的宇宙是真实的吗?全息宇宙
- 显微镜|假如人类可以把显微镜提升到40亿倍,是不是全新的宇宙观?
- 爱德温·哈勃|科学家怎么知道宇宙有多大?哈勃第一个探测到银河系外还有星系
- 银河系|科普知识:宇宙中有多少个银河系?
- 神农架|“神农架”深处为何不让前往?其中的古怪现象,科学家至今没搞懂
- 火星|在宇宙冲浪的火星摄影师返图!火星:拍得不错!
- 这8道上海经典名菜,谁是你心中的NO.1?
- 宇宙|科学家发现神奇图案,被称为“上帝指纹”,宇宙是被设计好的吗?
- 物种|现实中的灭霸:危险入侵物种,可能潜伏在暗处
- 宇宙|暗流体遍布宇宙,有时吸引,有时排斥,究竟是怎么一回事?
