科学辟谣 , 要辟就辟科学界内外根深蒂固的谣 。
撰文 | 曹则贤(中国科学院物理研究所)
转动 , 只有各种转动;任何转动都只是转动而已
——笔者
摘要 时间膨胀和长度收缩是民间广为流传的相对论效应 , 甚至有所谓高速运动的星球其视觉效果变得扁平的严肃研究 。 然而 , 狭义相对论的精髓是洛伦兹群 , 那是一个共形(保角)变换群 , 洛伦兹变换从一开始就是让球波还是球波的变换 , 一个运动球体的视觉效果
文章插图
加以讨论 。 运动球体的视觉效果看起来还是圆但经受了转动 , 此结论有用旋量和几何代数的严格证明 。
关键词 长度收缩 , 时间膨胀 , 视觉 , 洛伦兹群 , 共形(保角)变换 , 转动 , 旋量 , 几何代数
1 伽莫夫的奇异世界
伽莫夫 (Георгий Антонович Гамов , 1904-1968) 是著名的理论物理学家、宇宙学家 , 原子核的液滴模型 , α粒子衰变的量子隧穿模型等重要物理内容都和他有关 , 但他更成功的地方在于他众多的Science writings 。 我最喜欢的是他的短篇“我儿子是个物理学家” , 而广为人知的是长篇《One Two Three…Infinity》(汉译《从一到无穷大》 。 我怎么傻傻地觉得哪儿不得劲呢) , Mr. Tompkins in wonderland (汉译《物理世界奇遇记》) 。 这后一本1940年出的第一版 , 此后多次再版 , 1999年Russell Stannard还代庖完成了修订版的The New World of Mr. Tompkins 。
伽莫夫的wonderland 是一个光速比自行车速度 (对一般人来说这个数值~30 km/hr) 略高的世界 , 因此一个骑自行车的人很容易观测到相对论效应 。 伽莫夫借助这个奇思妙想来普及狭义相对论 。 那么 , 一个骑自行车的人用眼能观测到什么相对论效应呢?书里给出的例子是长度收缩 。 在骑自行车的Mr. Tompkins的眼里 , 路边的行人、狗、建筑一概在他自行车速度的方向上收缩了——他把世界看扁了 。 这样的物理世界的图像书里是一定要给配个插图的 (图1) , 这是多么令人惊奇啊!伽莫夫的这本书 , 尤其是这幅插图 , 对于普及长度收缩的概念可以说功莫大焉!说长度收缩妇孺皆知并不为过——有水井处即有人讨论长度收缩 。 然而 , 事情就怕说然而 , 伽莫夫对长度收缩的理解是完全错误的 , “Indeed, in his famous 1940 children’s book Mr. Tompkins in Wonderland, the Russian-born physicist George Gamow got length contraction all wrong.” (David Appell语) 这一幅让伽莫夫名满天下的插图恰恰也是让他的著名理论物理学家身份受伤最重的 , 书中含有公式
文章插图
则更是雪上加霜 , 他对相对论的理解确实太肤浅了 , 与他在众多物理学方向上表现出的水平严重不符 。
文章插图
图1. 在骑自行车的Mr. Tompkins的眼中 , 世界是在自行车运行的方向上是压缩的
2 长度收缩
相对论的精髓是洛伦兹变换 。 设两参照框架的相对速度v在x-方向上 , 则两参照框架的时空坐标之间的洛伦兹变换为
文章插图
相对论意义下的物理变换 , 应该把物理量表示成4-矢量或者 4×4 张量的形式 , 相应地作洛伦兹变换或者二重洛伦兹变换 。
时间膨胀和长度收缩是人们耳熟能详的相对论效应 。 笔者在诸多关于相对论的严肃与不严肃的介绍中不知道见过多少次这种说法 , 且也是深信不疑 。 然而 , 等到笔者自己撰写《相对论~少年版》时 , 却发现问题远不是那么简单 。 有些地方是让人感觉相当别扭 。
文章插图
你看到问题出在哪儿了吧?虽然相对论用的是时间和空间缝到一起的空时(spacetime) 的概念 (时空是对空时的故意颠倒 , 类似的有输运对运输的故意颠倒 。 有人给我们用中文学物理挖了许多坑) , 时间膨胀和长度收缩老是相提并论 , 但是它们的推导用的却不是同一个物理图像!物理不带这么玩的 。
既然观测者测量到的相对运动的物体在运动方向上的长度比实际的要短 , 那自然可以说一个从身边疾驰而过的物体看起来有点扁 , 或者如伽莫夫书中描述的 , 一个骑自行车人的看到了一个挤扁了的世界——相对论把世界看扁了 。 我印象中 , 有本相对论书里有用长度收缩出了个如何相对论地往车库里倒车 (how one drives relativistically his car into garage) 的题 , 我是实在不理解 (但凡那车值10块钱也舍不得相对论地往车库里倒)。 现在 , 我为当初我对这道题的困惑不解感到骄傲了 。
3 相对论几何与相对论视觉
时间膨胀和长度收缩被胡乱地用于一些原子物理现象的解释 , 严肃的、对物理有点感觉的物理学家很容易注意到里面前后不一致的地方 。 早在1924年 , 即量子力学、玻色统计被引入的同一年 , Anton Lampa就发文讨论了“一根运动的杆在静止观察者看来到底是什么样子”的问题 , 可惜无人喝彩 。 长度收缩带来一个挤扁了的运动世界的说法继续肆意流传 。
到了1959年 , 事情有了转机 。 James Terrell 发表了“洛伦兹变换之不可见性”一文 , 该文惊动了物理大家Weisskopf撰文加以详细阐述 。 最重要的是 , 同年彭罗斯发表了“相对论运动球的视形状”一文 。 这些研究的结论是 , 运动物体没有看起来扁平这种事情 , 一个球运动起来给静止观察者的视觉效果也是个圆 , 但是观察者看到的是转动了一个角度的部分 。 这种由相对运动带来的、用洛伦兹变换描述的、运动物体在静止观察者那里引起的视觉效果上的转动称为Terrell effect 或者Terrell rotation. 对于一个立方体骰子来说 , 运动快了Terrell 转动会让它的背面都能被看到 (图2) 。
文章插图
图2. 一个立方体的Terrell 转动示意图
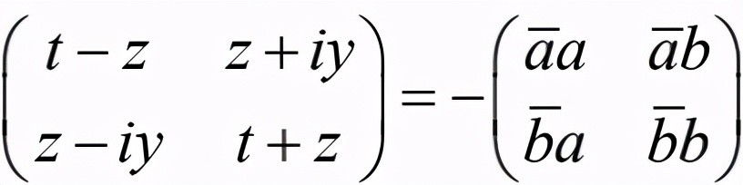
对于运动物体由洛伦兹变换带来的视觉问题 , 彭罗斯以运动的球给观察者的视觉仍是个圆为例 , 他的数学处理用到了射影几何以及用两分量旋量 (a, b) 来表示时空坐标 ,
文章插图
这个不是很好理解 (其实 , 学1927年引入的量子力学泡利方程就该好好学学旋量的语言) 。 利用几何代数的语言虽然也不容易懂 , 但是相较而言推导还比较直观一点 。
文章插图
行文至此 , 作为对本文所讨论的相对论视场变换 (transformation of field of vision) 问题的延伸 , 笔者要特别提醒读者 , 为了全面地理解快速运动物体的视觉结果 , 有必要针对任意尺寸、任意视角、任意距离、任意速度来计算一个物体的几何 。 嗯 , 请记住 , 底线是
文章插图
文章插图
图3. 球的相对论视觉
4 问题出在哪儿呢?
关于长度收缩的误解由来已久 。 即便是到现在 , 在 Terrell 和彭罗斯的工作发表60年以后 , 所谓因为长度收缩运动球看起来是扁平圆盘的说法还随处可见 。 万幸的是 , 笔者2020年出版的《相对论少年版》躲过了这个坑 。 那么 , 有这样的误解 , 问题出在哪儿了呢?
【相对论|相对论把球看扁了?图样图森破丨贤说八道】首先可能是因为基本科学素养不够 。
文章插图
谈论一个三维物体对运动观察者的视角效果问题 , 必须把4-个时空维度当成一个整体考虑 。 把一个洛伦兹变换掰开来讨论 , 特别是用不同的物理情景来讨论时间和空间坐标的变换问题 , 这应该是非常业余的研究者做法 , 是科学家不该犯的错误 。 非常有趣的是 , 伽莫夫这样的凤毛麟角的优秀理论物理学家 , 其功底看似不是很扎实 , 哪怕是洛伦兹这样的巨擘级的科学家 , 也犯了这种低级错误 。 洛伦兹甚至在1922年宣称 , 长度收缩不仅存在 , 而且是一个物理可观测现象 。 一个常见的相对论效应 , 就成了物理学家的试金石 , 再次验证了低温核聚变闹剧时引出的那句扎心的评论——这个世界上80%以上的物理学家根本不懂物理 。 而那些顶级的物理学家 , 也难免犯这样或那样的低级错误 。
其二 , 可能是因为数学功底不够扎实 。 彭罗斯是凭数学思考看出来这个长度收缩引出来的推论有点儿那么不合适的 , 用他自己的话说 , 是All this is evident from the symmetry——他说this is evident. 洛伦兹变换是保角(共形)变换 , 关于洛伦兹变换的演绎 , 底线是任何物体的观测形状不依赖于洛伦兹变换 (The bottom line is that the observed shape of any object will not depend on its Lorentz transformation) 。 当然了 , 光有这么笼统的思考心里估计也还是不踏实 , 如果能象彭罗斯那样 , 还能再用投影几何和旋量来验证一下 , 那就完美了 。 彭罗斯的论文只有短短的两页半 , 数学证明也就是给个梗概(sketch) , 他对我们读者的数学要求有点儿高啊 。 其实 , 以笔者的马后炮定式来看 , 洛伦兹群有六个生成元 , 可以理解为都是关于转动的 , 则洛伦兹变换的唯一结果是时空转动 。 顺便说一句 , 彭罗斯的科学素养和研究水平太高了 , 有兴趣的读者可以好好研究他在哲学、数学和物理方面的众多成就 , 他2020年获得诺贝尔物理奖有被人碰瓷了的说法 。
其三 , 可能是因为物理学史功底不够扎实 。 洛伦兹变换是关于麦克斯韦波动方程的不变变换 , 是让球波看起来还是球波的变换 。 关于这一点 , 早在1887年就是已经明确了的 , 参见拙著《相对论少年版》5.5节“洛伦兹变换的历史” 。 注意 , 洛伦兹变换是让球波看起来还是球波的变换 , 球波还是球波 , 哪有球变得扁平这回事儿呢!
回头谈谈伽莫夫写 science writing 推广量子力学和相对论的苦心 。 伽莫夫假设如果物理常数换个数值 , 使得类似相对论效应的那些物理效应是触手可及的 , 则我们通过长期思考研究得来的高深知识“会变成常识 。 我们甚至可以说连原始人在那样的世界里也会熟悉相对论和量子理论 , 会将这些知识用于打猎和日常生活 (would become a matter of common knowledge. We may say that even a primitive savage in such a world would be acquainted with the principles of relativity and quantum theory, and would use them for his hunting purposes and everyday needs.) ”然而 , 伽莫夫的这种想法还是太na?ve 了 。 知识不会因为现象或效应尽在眼前就能变成common knowledge——这个世界上有几个人懂得加法呢?伽莫夫试图用他的science writings 让人们形成关于实际物理世界之隐藏背景的清晰图像 (form a clearer picture of the hidden background of the actual physical world) , 似乎不是很成功 。 连伽莫夫这样的创造了物理学的、拥有最强大脑的、最勤奋的一群人尚且做不到 , 指望着靠一群资质平平、不明就里的人所提供的简化、零散、浅薄的知识片段让人们快速获得科学素养 , 这种想法也亏得有人敢想!知识越简化、越零碎 , 越意味着远离知识体系 , 越具有较高的曲解、误解甚至根本就是错误的风险 。 我的口号是 , 热爱科学 , 远离科普 , 哪怕是伽莫夫那种水平的科普作品 。
从这个关于狭义相对论长度收缩效应的认识过程笔者得到的教训是 , 作为学习者要习惯怀疑 , 要找到对具体学问细节负责的那个人 , 要到大的知识体系中推导验证所学内容 。 此外 , 作为作者 , 写书时一定要主动提醒读者去怀疑 。
若有一天见到了那些无所用心的所谓相对论作者 , 包括写了《相对论少年版》的我自己 , 我想用《天下无贼》里的那句台词跟他们打招呼:“ you should say sorry to me! ”
参考文献
1.George Gamow, Mr. Tompkins in wonderland, Cambridge University Press (1962).
2.George Gamow, Russell Stannard, The New World of Mr. Tompkins, Cambridge University Press (1999).
3.曹则贤 , 《相对论少年版》 , 科学出版社(2020).
4.Anton Lampa, Wie erscheint nach der Relativit?tstheorie ein bewegter Stab einem ruhenden Beobachter, Zeitschrift fur Physik 27, 138-148 (1924).
5.James Terrell, Invisibility of the Lorentz Contraction, Physical Review 116(4), 1041–1045(1959).
6. Victor F. Weisskopf, The visual appearance of rapidly moving objects, Physics Today13(9), 24 (1960).
7. Roger Penrose, The apparent shape of a relativistically moving sphere, Proc. Cam. Phil. Soc. 55, 137-139(1959).
8. David Appell, The invisibility of length contraction, Phys. World 32(8), 41-45(2019).
9. Chris Doran, Anthony Lasenby, Geometric Algebra for physicists, Cambridge University Press (2003).
推荐阅读
- 养老金|2021年上半年办理退休,养老金核算的这些知识要把握
- 茶香四溢的慕斯蛋糕
- 精河县精深加工,把每颗枸杞都“吃干榨尽”!
- 显微镜|假如人类可以把显微镜提升到40亿倍,是不是全新的宇宙观?
- 入秋后,手把手教你蒸馒头,不塌陷不回缩,蓬松柔软,好吃又劲道
- 芽芽泡|这种全身是刺的野草,80后曾把它当零食,3月正当季,你吃过吗?
- 宇航员|把女宇航员送月球生活,一个月要花多少钱?NASA计算?结果惊人
- 一把花生,一碗面粉,做家人爱吃的小零食,酥脆香甜,上桌吃光
- 手把手教你做手抓饼,详细做法,新手看了想不会都难,和卖的一样好
- 它是“春天第一鲜”,鲜美营养高,3块钱买一大把,不懂吃可惜了
