王长乐等-EPSL:沉积成岩作用对海相碳酸盐岩铬同位素体系的影响
沉积岩的氧化还原敏感元素(如钼、铀和铬等)含量及同位素经常用来揭示地球的氧化历史 。 其中 , 铬(Cr)同位素体系可指示前寒武纪大气的氧含量 。 Cr在自然界中主要有正三价(Cr(III))和正六价(Cr(VI))两个价态 , 陆壳Cr(III)氧化成Cr(VI)常需要锰(Mn)的氧化物 , 在此过程中可伴随Cr同位素的分馏 , 即Cr的重同位素优先集中于Cr(VI)中 。 由于Mn氧化物的形成需要自由氧 , 因而 , 沉积岩的Cr同位素体系可指示大气中自由氧的存在 。
依据此基本原理 , 近些年来 , 众多学者分析了地质历史时期不同对象(如条带状铁建造、页岩和碳酸盐岩等)的Cr同位素值 , 大致约束了早期地球大气的氧化历史 , 即前寒武纪大气基本处于低氧状态 , 一直到距今8亿年左右大气氧含量才接近或超过现代氧水平(PAL)的1% 。 然而 , 关于元古宙中期(19-9亿年)大气氧含量一直存在争议 , 到底是低氧(1% PAL)的疑问极大影响人们对重大生命进化进程的制约因素的理解 。 其中 , 最具争议的是Gilleaudeau等人在2016年在元古宙中晚期碳酸盐岩中发现正的Cr同位素值 , 这与前人报道的中元古宙铁石(ironstone)和页岩的未分馏的Cr同位素值形成鲜明对比 , 否定了氧气含量是制约原始动物出现的根本因素 。
碳酸盐岩的形成涉及到多种因素 , 如生物作用和水体的酸碱度(pH)等 。 研究表明 , 在水体pH值大于9.4条件下形成的非骨骼碳酸盐岩可记录海水的Cr同位素组成 。 由于碳酸盐自沉积之后普遍会遭受成岩蚀变作用 , 致使初始碳酸盐矿物如霰石发生重结晶形成方解石和白云石 , 因而需重点讨论成岩蚀变作用对Cr同位素体系的影响 。 在此背景下 , 中国科学院地质与地球物理研究所矿产资源研究院重点实验室的王长乐副研究员与美国耶鲁大学Noah Planavsky副教授以及乔治亚理工学院Christopher Reinhard副教授等合作 , 选取了巴哈马群岛附近的新生代碳酸盐岩进行了研究 , 首次详细诠释了成岩蚀变作用对Cr同位素体系的影响(图1) 。
文章插图
图1巴哈马Clino和Unda钻孔中碳酸盐岩的矿物学、碳氧同位素和Cr同位素特征以及Cr/Al比值 。 LMC代表低镁方解石;ARA代表霰石;DOL代表白云石
首先 , Clino钻孔上部天水蚀变带(
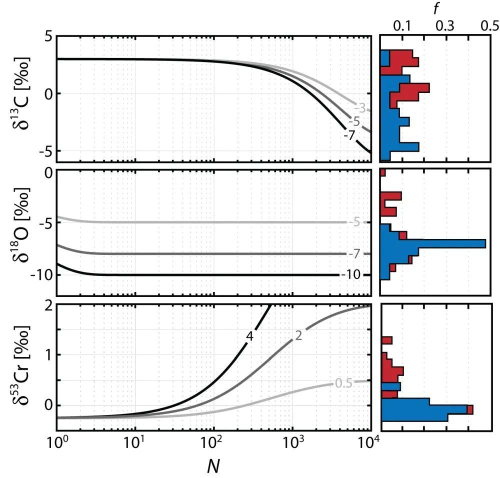
此外 , 他们采取了流体成岩模型进一步探索了成岩蚀变对Cr同位素体系的影响 , 发现如果碳酸盐岩原始碳同位素值发生变化时 , 其Cr同位素值也会发生改变;并且即便在碳同位素没有变化的条件下 , 碳酸盐岩的Cr同位素体系也会被改造(图2) 。
文章插图
图2成岩模型中碳酸盐岩碳、氧和Cr同位素组成随着蚀变强度的变化而变化 。 右侧柱状图数据来自前人元古宙中期碳酸盐岩的数据 , 蓝色代表方解石样品 , 红色代表白云石化的样品
【同位素|EPSL:沉积成岩作用对海相碳酸盐岩铬同位素体系的影响】为了探讨成岩作用是否影响了元古宙中期碳酸盐岩的Cr同位素体系 , 他们进一步分析了多处太古宙碳酸盐岩的Cr同位素组成 , 并将其与元古宙以及新生代碳酸盐岩数据进行对比(图3 ) , 发现太古宙与元古宙数据具有极大相似性 , 但与新生代明显不同 。 考虑到太古宙大气普遍为缺氧状态 , 且同时发现元古宙碳酸盐岩Cr同位素的分馏现象主要出现于白云石化样品中(图2) , 综合认为元古宙中期碳酸盐岩的正Cr同位素值可能与成岩蚀变相关 , 不能代表原始特征 。 如此来看 , 中元古宙大气极有可能整体为低氧状态 , 这种长期的低氧状态根本上限制了真核生物的分化和原始动物的出现 。
文章插图
图3新生代、元古宙和太古宙碳酸盐岩的Cr含量、Cr/Al比值和Cr同位素特征
研究成果发表于国际权威学术期刊EPSL(王长乐, Christopher Reinhard, Kyle Rybacki, DaltonHardisty, Frantz Ossa Ossa,王相力, Axel Hofmann, Dan Asael, Leslie Robbins,张连昌, Noah Planavsky. Chromium isotope systematicsand the diagenesis of marine carbonates[J]. Earth and Planetary ScienceLetters, 2021, 562:116824. DOI: 10.1016/j.epsl.2021.116824) 。 成果受国家自然科学基金项目(41872087和41890833)、中科院原始创新项目、地质所重点部署项目(IGGCAS-201905)和中科院青促会资助 。
校对:张腾飞
推荐阅读
- 刘宝珺|科创未来|院士刘宝珺:“沉积”世界的拓荒者
- 物理|一文了解物理气相沉积技术
- 魂斗罗|旧时童年PSP上经典的游戏,曾经从不离手,如今沉积落灰
- |研究称全球海底沉积逾1400万吨微型塑料碎片(图)
- 互联网|山东省和晟投资有限公司:聚力盘活沉积资产 加快“双招双引”步伐
- |海洋一所科研人员在海底沉积物物性参数反演研究中取得新进展
- Nubia|通过简单的电喷雾沉积技术制造的无粘结剂高性能MXene超级电容器
- 央视新闻客户端|创新纪录!“雪龙2”号在北冰洋成功获取18.65米柱状沉积物岩心样品
- 同位素|光鲜靓丽的装饰,掩盖不住头发里透出的贫穷
- 科学家在海洋沉积物中发现古老的超新星痕迹
