不管是阖家团圆 , 还是在异乡过年 , 奇点糕相信大家这几天里没少好吃好喝 , 然后就是“每逢佳节胖三斤”的标准结局了 。 于是把这几斤肉甩掉 , 就肯定会被很多人提上年后日程 。
那奇点糕就给各位有志减肥的读者一个小提示吧:不要为了减肥不吃晚饭!
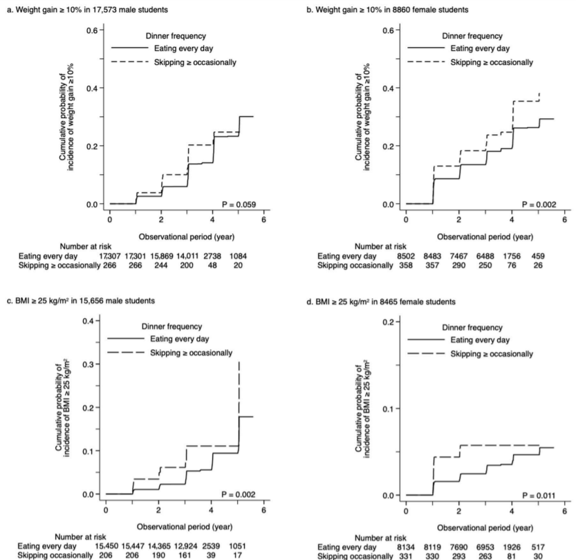
春节前发表在Nutrients上的一项最新分析显示 , 与每天都吃晚饭相比 , 偶尔不吃晚饭 , 甚至是经常不吃或从来不吃晚饭(下文简称不吃晚饭) , 都与体重增加(体重上升≥10%) , 甚至达到超重/肥胖的风险显著上升有关!
这项研究基于对大阪大学1.7万余名男学生和近9000名女学生数据的分析进行 , 不吃晚饭与男生体重增加风险上升42% , 超重/肥胖风险上升74% , 女生体重增加风险上升67% , 超重/肥胖风险上升68%有关[1] 。
而相比之下 , 偶尔不吃早饭或午饭 , 都对大学生们的体重没有显著影响 。 虽然这类研究的效果往往因人而异 , 比如奇点糕以前不吃晚饭照样能减肥 , 但偶尔的反例还是比不过大数据啊 。 所以乖乖吃饭 , 但是管好吃什么 , 然后迈开腿减肥吧 。
文章插图
吃个简单的晚饭也挺好
(头图来源:Pixabay)
不吃早饭影响代谢健康 , 这基本是板上钉钉的事实 , 所以健康饮食宣教中都强调“早餐要吃饱吃好”[2] 。 但不吃午饭或晚饭的相关研究 , 此前还真是非常有限 , 因为一般人不吃这两顿饭的实在不多吧?除非是在实践各种断食策略 。
这次大阪大学的学生队列中 , 在调查问卷里报告偶尔不吃晚饭 , 甚至是经常不吃和基本从不吃晚饭的男生只有266人(1.5%) , 还不到研究男生人数的零头 。 女生当中不吃晚饭的人数稍多一些 , 但也只有358人(4.0%)而已 。
而与其它规规矩矩吃一日三餐的同学相比 , 这些不吃晚饭的学生一般还有其它不健康的生活习惯 , 比如睡眠时间更短、抽烟喝酒比例更高、还可能会不吃早饭或晚饭等等 。
在中位时间3年的观察期后 , 共有3300多名学生体重增加≥10% , 近1000名学生体重指数(BMI)≥25 , 达到了超重甚至肥胖的标准 。 调整相关风险因素后 , 就得到了文章开头不吃晚饭与体重增加、超重/肥胖风险上升有关的数据 。
文章插图
即使排除掉基线就是超重/肥胖的2000余名学生 , 不吃晚饭仍然是与观察期后超重/肥胖风险上升显著相关的 。 而不管是在男生还是在女生当中 , 偶尔不吃早饭或午饭都不会有类似的影响 。
文章插图
只有不吃晚饭存在统计学意义的影响
对于不吃晚饭为什么会有这么明显的影响 , 研究团队在论文当中提出了两种可能的解释 , 第一种是不吃晚饭的饥饿感 , 会使人此后摄入更多的食物 , 提高整体的热量摄入水平 。 不吃晚饭之后狂吃零食 , 这样的人自觉举手吧?肯定不会少的
第二种解释 , 则是不吃晚饭的人可能饮食整体质量差 , 蔬菜、水果、鱼类食物的进食量偏少 , 但也不排除日本人群整体爱熬夜导致的生活习惯差异 。 至于有没有生物钟、肠菌之类更加高深的机制 , 那就得等后续研究来解谜了 。
总而言之 , 如果在年后减肥中受挫 , 发现体重就是顽固地下不去 , 那么大家可以想想是否与晚饭有关 。 吃点健康的食物 , 也好过先不吃晚饭再一通胡吃海塞啊 。
参考资料:
1.Yamamoto R, Tomi R, Shinzawa M, et al. Associations of Skipping Breakfast, Lunch, and Dinner with Weight Gain and Overweight/Obesity in University Students: A Retrospective Cohort Study[J]. Nutrients, 2021, 13(1): 271.
2.Odegaard A O, Jacobs D R, Steffen L M, et al. Breakfast frequency and development of metabolic risk[J]. Diabetes Care, 2013, 36(10): 3100-3106.
头图来源:Pixabay
文章插图
【日本大学|2万余名日本大学生数据显示,不吃晚饭容易胖?】本文作者 | 谭硕
推荐阅读
- 杨振宁|清华大学辟谣:杨振宁逝世系谣言
- 杨振宁|清华大学:“物理学家杨振宁近日逝世”系谣言,先生身体健康
- 杨振宁|杨振宁教授去世?清华大学已辟谣:先生当前身体健康
- 溃疡性大肠炎|JMT日本疑难病治疗-溃疡性大肠炎通过适当治疗可以恢复到健康人状态
- 小行星|3月22日巨型小行星逼近地球!速度12万公里/小时,可能发生撞击?
- 乙肝|乙肝药物筛选,日本科学家发现,其他步骤靶点ponesimod
- 布法罗大学|新工具可以通过眼睛里的微小反射来识别出深度伪造照片
- 糖尿病并发症|JMT日本常见病治疗-糖尿病并发症的原因和危险的三大并发症
- 微创手术|女大学生双手“挥汗如雨” 微创手术20分钟搞定顽疾
- 朱拉隆功大学|用狗追踪无症状感染者?准确率95%,朱拉隆功大学解锁新成就!
