当数学家得出方程式和公式 , 如同看到雕像 , 美丽的风景 , 听到优美的曲调等等一样而得到充分的快乐 。
——柯普宁
公式 , 是数学世界中一道美丽的风景 , 一个小小的等式 , 可以看穿自然的奥秘 , 也可以道尽宇宙的玄机 , 这一切的背后 , 是人类举着好奇心火把的发现之旅 。
英国权威科学期刊《物理世界》(Physics World)曾让读者投票评选“历史上最伟大的公式” , 最终入选的十大公式 , 可以说包含了整个人类文明的智慧结晶 , 堪比神仙打架 。
文章插图
今天 , 超模君就来给大家盘一盘这十个公式 , 如果你喜欢的公式没有上榜 , 记得在评论区为它打Call:
No.10 德布罗意方程组(The de Broglie Relations)
创立者:路易·维克多·德布罗意
提出时间:1924年
文章插图
德布罗意认为 , 任何物质既有粒子性 , 又有波动性 , 或者说 , 任何物质都可以看成是一种波 , 包括人本身 。 德布罗意方程组就是描绘物质波的方程组 , 它构成了量子力学理论的核心部分 。
文章插图
文章插图
1927年 , 在首次通过实验证明了物质的波状行为后 , 德布罗意于1929年获得了诺贝尔物理学奖 。
No.9 最小作用量原理(Principle of least action)
创立者:皮埃尔·莫佩尔蒂(有争议)
提出时间:1744~1746年
文章插图
最小作用量原理 , 是一种变分原理 , 当应用于机械系统的作用力时 , 可以用来获得该系统的运动方程 。
文章插图
这原理的研究引导出经典力学的拉格朗日表述和哈密顿表述的发展 。 卡尔·雅可比特称最小作用量原理为分析力学之母 。
No.8 1+1=2
这个公式还需要解释吗?
No.7 玻尔兹曼公式(Boltzmann transport equation)
创立者:路德维希·玻尔兹曼
提出时间:1872年
文章插图
玻尔兹曼公式 , 又称玻尔兹曼熵公式 。 熵 , 指的是封闭体系杂乱程度的一个量 。 这个量在可逆过程不会变化 , 在不可逆过程会变大 , 此公式用来表示系统无序性的大小 。
文章插图
由于观点新颖 , 一开始并不被学界所接受 , 玻尔兹曼在沉重的精神压力下 , 选择了自杀 。
No.6 质能方程(Mass–energy Equivalence)
创立者:阿尔伯特·爱因斯坦
提出时间:1905年
文章插图
可能是知名度最高的方程之一?提到爱因斯坦 , 大多数人都能脱口而出 , 至于要解释它是干啥的嘛....这么说好了 , 在它出现之前 , 人们毫无疑问的认为:质量是质量 , 能量是能量 , 两者间没有联系 , 而质能方程将两者联系了起来 。
文章插图
原子弹、氢弹因此应运而生 , 这可能是它排名靠后的原因 。
No.5 薛定谔方程(Schr?dinger equation)
创立者:埃尔温·薛定谔
提出时间:1926年
文章插图
薛定谔方程是量子力学的最基本方程之一 。 它揭示了微观物理世界的物质运动的基本规律 。 在量子力学的地位与牛顿在经典力学的地位相当 。
文章插图
由于对量子力学的突出贡献 , 薛定谔获得1933年诺贝尔物理学奖 。
No.4 勾股定理/毕达哥拉斯定理(Pythagorean Theorem)
创立者:毕达哥拉斯(也有认为我国商代就已经出现勾股定理并加以证明)
提出时间:不可考
文章插图
勾股定理是几何中最为基础的方程式之一 , 它简洁明了地表达了直角三角形三边的关系 , 勾三股四弦五至今深入每一个地球人的心灵 。
文章插图
做数学不可能没用到过吧 , 不多讲了 。
No.3 牛顿第二定律(Newton’s Second Law of Motion)
创立者:艾萨克·牛顿
【莱昂哈德·欧拉|科普|10个最伟大的公式】提出时间:1687年
文章插图
牛顿第二定律是经典物理学的核心 , 它适用于我们日常生活的方方面面 , 它标志着真正物理学研究的开始 。 没有牛顿 , 人类文明会在黑暗的世界中度过更长的时间 。
文章插图
只要学过高中物理 , 都认识吧 。
No.2 麦克斯韦方程组(The Maxwell’s Equations)
创立者:詹姆斯·克拉克·麦克斯韦
提出时间:1861~1862年
文章插图
将电场和磁场有机地统一成完整的电磁场 。 并创立了电磁场理论 , 而没有电磁学理论 , 就不会有现在的社会文明 。
积分形式:
文章插图
文章插图
文章插图
文章插图
微分形式:
文章插图
文章插图
文章插图
文章插图
这组神奇的方程融合了电的高斯定律、磁的高斯定律、法拉第定律以及安培定律 。 有人评价它:“一般地 , 宇宙间任何的电磁现象 , 皆可由此方程组解释 。 ”
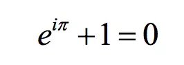
No.1 欧拉公式(Euler’s Identity)
创立者:莱昂哈德·欧拉
提出时间:1748年
文章插图
数学上有许多公式都是欧拉发现的 , 因此欧拉公式并不是某单一的公式 , 欧拉公式广泛分布于数学的各个分支中 , 比如分式、拓扑学、平面几何等等 。
这个公式的巧妙之处在于:它没有任何多余的内容 , 将数学中最基本的e、i、π放在了同一个式子中 , 同时加入了数学也是哲学中最重要的0和1 , 再以简单的加号相连 。
文章插图
欧拉数e , 由欧拉首创 , 表示增长的极限 , 在我们的生活中无处不在 , 包括复利的增长 , 细胞的繁殖...
圆周率π , 源自世界上最完美的对称图形 , 由欧拉第一个命名并普及 。
虚数i , 同样由欧拉第一个命名 , 一切事物的值都可以表示为a+bi....
由此组成的欧拉公式 , 研究交流电时少不了它 , 信号分析依赖它 , 研究任何圆周运动免不了用到它 , 还是量子力学的重要数学工具....几乎所有的数学领域 , 都会使用到它 。
后来 , 这个公式更被誉为“上帝公式” , 无数公式中只有它获得了如此高的评价 , 不得不服!
高斯曾经说:“一个人第一次看到这个公式而不感到它的魅力 , 这个人绝不会成为一流的数学家!”
以上 , 就是《物理世界》所评选的十个最伟大的公式 。 只能说欧拉公式的人气实在太高 , 超模君看过的不少榜单 , 欧拉公式都是妥妥的第一!
与麦克斯韦方程组相比 , 欧拉公式要更加整洁 , 也就是颜值更高 , 而颜值高+有内涵 , 往往是俘获人类心灵的通行密码 。
来源:超级数学建模
推荐阅读
- 伯恩哈德·黎曼|羞怯的数学家黎曼,有着太阳一样辉耀的心
- 新时代的新可能,“欧拉猫变研究所”打造首个电动车原厂改装 IP
- 罗体:弗洛伦奇表现征服巴黎,莱昂纳多希望提前买断
- 莱昂内尔·特里林|弹幕上,为什么满屏是“太真实了”“过于真实”?
- 秋日久违的阳光下我与爱车欧拉黑猫随拍
- 我的欧拉白猫新车异味去除
- 电动邦|回归60年代的复古美学,抢鲜试驾欧拉好猫
- 巩晓彬苦尽甘来!哈德森注册,哈里斯连续2场三双,高诗岩准四双
- 标杆级选择:欧拉白猫和宏光MINI EV你爱谁?
- CBA外援最新名单,辽篮新援尚未注册,哈德森回归,全华班仅剩4队
