罗巴特·斯特林|为了让你过好夏天,你知道科学家们有多努力吗?
本文图片
《回忆中的玛尼》
夏天真是让人又爱又恨的季节 , 小编早早就准备好了空调、Wi-Fi、西瓜夏日消暑标配神器 。 酷暑难耐 , 想必很多人和我一样 , 半条命都是空调给的 。 不过大家有没有想过温度是如何降下来的?
本文图片
最简单的方式当然是扇风 。 虽然吹风不能使空气的温度降低 , 但是空气的流动会加速皮肤表面汗水的蒸发作用 , 从而将体表的热量带到空气中 , 达到散热降温的作用 。
本文图片
电风扇便是利用了电机转动带动扇叶转动 , 扇叶与旋转面呈一定角度 , 旋转时以斜切的方式挤压受力面的空气 , 从而产生气流 。 扇叶做成流线型可以避免不必要的摩擦损耗动能 , 同时可以减小噪音 。 扇叶旋转时上部空气受力“流走”而原来所在的位置会产生负压 。 而下部空气因为负压“流入”该区域 , 形成连续的空气流动 。
本文图片
扇叶旋转时空气流动示意图
无叶风扇近几年也好好地火了一把 , 其外表看起来高级炫酷 , 无叶设计不会覆盖尘土或者伤害到儿童的手指 。 可能不少朋友会好奇无叶风扇没有扇叶 , 风是从哪里来的?
本文图片
无叶风扇工作图
无叶风扇最早于1981年由日本东京芝浦公司取得设计专利 , 在2009年由英国的詹姆斯·戴森(James Dyson)制造及投入市场 。 但它并非真正无扇叶 , 实际上只是扇叶隐藏在底座里面 。 无叶风扇的底座设有离心式压缩机 , 以叶片旋转在底座四周吸入空气、增压 , 推送至风扇顶部的中空的管状环 , 管状环上一端有幼窄的缝 , 空气自此窄缝喷出 , 喷出的方向使被喷出的空气沿管状环的内壁前进 , 由于内壁的横切面成翼型 , 基于伯努利定律使得在空气喷出环的一边的内壁表面成形成低压 , 如此 , 形成环中心前方较后方低压 , 后方的空气因而被拉进往前 , 环内的大量空气因此被牵引喷出 。 詹姆斯·戴森的原设计中 , 底座中使用无刷电动机推动压缩机每秒吸入27L的空气 , 而环状出气装置却有每秒405L的空气喷出 , 因此又称为“空气倍增器” 。
本文图片
无叶风扇工作原理图
当然吹风并不能真正实现温度降低 , 要想实现科学降温 , 就不得不利用热力学的知识 。 在现代技术中 , 一般有三类方法来实现低温:一类利用低温冷剂 , 一类通过气体动力学作功 , 还有一类则是利用某些物理化学现象 , 如热电效应、顺磁效应、隧穿效应等 。
本文图片
隧穿效应 | 来源:新原理研究所
温度是表征物体冷热程度的物理量 , 微观上来讲是分子热运动的剧烈程度 , 理想气体分子平均平动动能为:
本文图片
其中m是分子质量 , 是分子平方平均速率 , k是玻尔兹曼常数 , T是温度 。 这说明温度越高 , 分子运动越剧烈 。 物体间的温度差会引起热能传递现象 。 热传递主要存在三种基本形式:热传导、热辐射和热对流 。 只要在物体内部或物体间有温度差存在 , 热能就必然以以上三种方式中的一种或多种从高温到低温处传递 。
本文图片
使用冰块作为低温冷剂降温的鸡尾酒
低温冷剂便是利用低温物体与高温物体接触实现高温物体的降温 , 比如在可乐里加冰块 , 还有物理所传统技艺——液氮冰淇淋 。 聪明的古人早在周代就开始在冬天采集冰块放入冰窖储藏 , 等夏天再取出来消暑 。 到了现代社会 , 随着空气液化技术和杜瓦技术成熟 , 这种简单粗暴的制冷方式不但没有淘汰 , 反而应用于各种高大上的实验设备中 , 比如扫描隧道显微镜(STM)、磁学测量系统(MPMS)等 。 常压下液氮的液化温度为77K(-196℃)、液氦液化温度为4.2K(-268.95℃) , 可以为物理实验提供稳定的低温环境 , 尽可能排除热涨落的干扰 , 从而观察到一些奇妙的量子现象 。
本文图片
要谈气体动力学制冷 , 就得直面大名鼎鼎的“卡诺循环” 。 1824年 , 法国工程师尼古拉·莱昂纳尔·萨迪·卡诺提出了卡诺循环(Carnot cycle)来分析热机的工作过程 。
本文图片
卡诺循环
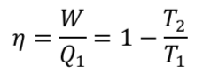
卡诺循环是假设只有两个热源(一个高温热源温度T1和一个低温热源温度T2)的简单循环 。 由于工作物质只能与两个热源交换热量 , 所以可逆的卡诺循环由两个等温过程和两个绝热过程组成 , 在理想气体的准静态过程中进行能量转化:等温膨胀过程III(在高温热源吸热 Q1);绝热膨胀过程IIIII(ΔQ=0);等温压缩过程IIIIV(在低温热源放热 Q2);绝热压缩过程IVI(ΔQ=0) 。 整个循环中气体对外所作的净功 W 应等于气体在循环中所吸收的净热量 Q1-Q2 。 理想的卡诺循环效率为(详细计算过程可查《热力学·统计物理》):
本文图片
这说明卡诺循环效率只与两个热源的温度有关 , 且在有限温度内不可能达到1 , 不过可以通过升高高温温度和降低低温温度来增大效率 。
本文图片
斯特林发动机 I | 来源:看点快报
1816年 , 英国伦敦的牧师罗巴特·斯特林(Robert Stirling)发明了斯特林发动机(Stirling engine) , 它理论上的效率几乎等于理论最大效率——卡诺循环效率 。 斯特林发动机是通过气体受热膨胀、遇冷压缩而产生动力的 。 它是一种外燃发动机 , 使燃料连续地燃烧 , 蒸发的膨胀氢气(或氦)作为动力气体使活塞运动 , 膨胀后的气体又在冷气室里被冷却 , 反复地进行这样的循环过程 。
本文图片
斯特林发动机 II | 来源:看点快报
本文图片
斯特林发动机 III | 来源:看点快报
由于准静态过程可逆 , 如果令整个卡诺循环反向进行 , 依次经状态 IIVIIIII 而回到状态I , 就需要外界对系统作功 , 在低温热源 T2吸热 Q2 , 在高温热源 T1放热 Q1 , 这个逆循环正是理想制冷器的工作循环 , 其作用是把热量从低温物体送到高温物体 。
本文图片
斯特林制冷器示意图 , 该系统由一个活塞在环境温度 Ta, 一个活塞在低温 TL| 来源:wiki
本文图片
斯特林循环的四种状态 | 来源:wiki
斯特林制冷器正是利用逆卡诺循环来实现降温的 , 它由冷热活塞、冷量换热器、冷却器、回热器和两个气缸组成 。 冷却循环分为4个步骤;
等温压缩过程ab:冷活塞固定 , 热活塞右移 , 以环境温度 Ta放热 Qa;
定容放热过程bc:两个活塞同时向右移动 , 气体的体积保持不变 , 当热气体通过回热器时 , 将热量传给填料 , 因而温度由 Ta降低到 TL;
等温膨胀过程cd:热活塞固定 , 冷活塞右移 , 温度为 TL的气体进行等温膨胀 , 从低温热源(冷却对象)吸收一定的热量 QL(制冷量);
定容吸热过程da:两个活塞同时向左移动直至左止点,气体体积保持不变 , 回复到起始位置 。 当温度为 TL的气体流经时从回热器填料吸热 , 温度升高到 Ta 。
外界对制冷器作功:
效率为:
发现其理想效率也只与两个温度有关 。 斯特林制冷器具有结构紧凑、工作温度范围宽、启动快、效率高、操作简便等优点 。 两空间制冷机温度可达 80 K 。 三空间制冷机温度可达 10.5-20 K 。 四空间制冷机温度可达 7.8 K 。 冷头最底温度达到6K到 3.1 K的斯特林制冷器也已研制成功 。 除此之外 , 还有Gifford-Mcmahon(GM) 制冷器、脉冲管制冷器、节流制冷器等等 。
本文图片
说完理想的卡诺循环热机和制冷器后 , 再来谈谈它在空调上的应用 。 1902年后期 , 首个现代化、电力推动的空气调节系统由威利斯·开利发明 。 空调的核心原理也是逆卡诺循环 , 再加上冷媒(如二氟一氯甲烷)的状态改变进行热量的转化来对有限空间进行降温 。
如图所示 , 压缩机 1 将低温常压气态的冷媒压缩成高温高压气态 , 然后输送到室外机的冷凝管 3 处散热后成为常温高压液态 , 因此室外机风扇 2 吹出来的是热风 。 然后流入细管 4 再进入室内机的蒸发器旋管 5, 此处空间增大 , 压力减小 , 液体汽化吸收大量的热量 , 冷媒变成低温常压气态 , 室内机的风扇 6 将空气吹过蒸发器从而产生冷风 , 气体再经过压缩机 1, 又是一个新的制冷循环 。
本文图片
空调工作原理示意图 | 来源:removeandreplace.com
利用某些物理化学现象来制冷也并不罕见 。 热电制冷又称作温差电制冷或半导体制冷 , 它是利用热电效应(帕尔帖效应)的一种制冷方法 。
本文图片
热电制冷原理示意图 | 来源:58ytr.com
1834年法国物理学家J. C. A. 帕尔帖在铜丝的两头各接一根铋丝 , 在将两根铋丝分别接到直流电源的正负极上 , 通电后发现一个接头变热 , 另一个接头变冷 。 这说明两种不同材料组成的电回路在有直流电通过时 , 两个接头处分别发生了吸放热现象 , 这就是热电制冷的现象 。 半导体材料具有较高的热电势可以成功地用来做成小型热电制冷器 。 热电制冷器的产冷量一般很小 , 所以不宜大规模和大制冷量使用 。 但由于它的灵活性强 , 简单方便冷热切换容易 , 非常适宜于微型制冷领域或有特殊要求的用冷场所 。
本文图片
磁制冷原理示意图 | 来源:baike
磁制冷是一种利用磁性材料的磁热效应来实现制冷的新技术 。 磁热效应(magnetocaloric effect , MCE)是一种变化磁场下磁性材料磁矩有序度发生变化而导致的热现象 。 在磁性材料被磁化时 , 磁矩有序度增加 , 磁熵减小 , 温度上升 , 向外界放出热量;退磁时 , 磁性材料磁矩有序度减少 , 磁熵增加 , 温度下降 , 从外界吸收热量 。 1881 年 , Warburg在金属铁中首次发现了这种现象 , 随后Giauque进行了绝热去磁的应用研究 , 并于1927年获得小于1 K的低温 。
本文图片
讲了这么多 , 小编的头突然觉得还挺凉快的~
参考文献:
[1] 汪志诚.《热力学·统计物理》
[2] 无叶风扇. 维基百科
[4] 斯特林发动机原理
[5] Cryocooler. 维基百科
[6] 热电效应. 百度百科
【罗巴特·斯特林|为了让你过好夏天,你知道科学家们有多努力吗?】[7] 绝热去磁制冷. 百度百科
推荐阅读
- 埃及金字塔|探秘尼罗河|为什么会有人觉得,埃及金字塔是伪造的?
- 俄罗斯|上月一艘破冰船驶往江苏,预示俄罗斯将成气候变暖最大赢家?
- 布法罗大学|新工具可以通过眼睛里的微小反射来识别出深度伪造照片
- 保罗·狄拉克|为什么物质比反物质多?
- fda|FDA警告!罗氏诊断快速冠状病毒、流感检测可能会导致假阳性结果!
- 罗平|罗平男子挖到怪东西,疑似“太岁”谜团多
- 俄罗斯大叔请中国朋友吃饭,下酒菜上桌差点哭出来这谁受得了啊
- 临床试验|俄罗斯对国内首款细胞治疗产品发放临床试验许可
- 太空|早安太空·网罗天下|探月工程总设计师吴伟仁讲解探月计划新动向
- ufo|俄罗斯又出现不明飞行物,还要发光,是什么?
