阿司匹林|阿司匹林会加速老年人晚期癌症的进展,增加死亡风险?
本文图片
导言:阿司匹林被称为“神药” , 它除了能够镇痛抗炎之外 , 还在预防心血管疾病和各种癌症中发挥重要作用 。 100多年来 , 阿司匹林的疗效是有目共睹的 , 然而 , 近日发表在《国家癌症研究所杂志》上的一项研究对此提出了质疑 。
早前已有很多研究表明 , 阿司匹林能够降低患胃癌、肝癌、食管癌、头颈癌、肺癌、结直肠癌、胰腺癌等癌症的风险 , 可以作为癌症的辅助治疗药物 。 然而 , 最近的一项临床试验结果表明 , 对于患有晚期癌症的老年人 , 服用阿司匹林可能会增加其疾病进展和过早死亡的风险 。
这项研究是由马萨诸塞州总医院(MGH)、明尼苏达州伯曼中心和澳大利亚莫纳什大学的研究人员领导的一个两国研究小组进行的 , 在8月11日发表在《国家癌症研究所杂志》上 , 题为“Effects of aspirin on cancer incidence and mortality in older adults” 。
本文图片
研究人员设计并启动了阿司匹林在老年人中使用的事件 , ASPREE试验 , 这是首个随机双盲安慰剂对照试验 , 在健康老年人中每日使用低剂量(100毫克)阿司匹林 。 这项研究包括19,114名70岁以上的澳大利亚和美国社区居民(美国少数民族65岁以上) , 在研究开始时这些受试者没有心血管疾病、痴呆或身体残疾 。 参与者被随机分配到阿司匹林或安慰剂组 , 平均随访4.7年 。
本文图片
治疗组ASPREE人群的基线特征
2018年10月 , 研究人员发表了一份非常令人吃惊且令人担忧的报告 , 报告显示阿司匹林的使用与主要由癌症导致的死亡风险升高之间存在关联 。 目前的报告提供了阿司匹林对ASPREE参与者的癌症相关影响的更全面的分析 。 MGH临床和转化流行病学部门的负责人、麻省理工学院流行病学主任、哈佛大学医学院教授、该研究的资深作者Andrew T. Chan博士解释说:“我们进行这项研究是为了更详细地检验阿司匹林对癌症发展和癌症死亡的影响 。
【阿司匹林|阿司匹林会加速老年人晚期癌症的进展,增加死亡风险?】
本文图片
在阿司匹林或安慰剂研究组中 , 根据首次癌症事件的出现 , 癌症发病人数(n=1933)和癌症死亡人数(n=495)(总结为每1000人年随访率)
本文图片
蓝线-阿司匹林;红线-安慰剂
Chan博士和他的同事报告说 , 981名服用阿司匹林的参与者和952名服用安慰剂的参与者患上了癌症 。 在总体癌症发展或特定类型癌症发展方面 , 两组之间没有统计学上的显著差异 。 然而 , 阿司匹林与癌症扩散(或转移)诊断风险增加19% , 与癌症第四期或晚期诊断风险增加22%有关 。 此外 , 在被诊断为癌症晚期的参与者中 , 服用阿司匹林的人在随访期间死亡的风险比服用安慰剂的人更高 。
Chan表示 , “在确诊为晚期实体癌的患者中 , 服用阿司匹林的死亡率尤其高 , 这表明 , 一旦癌症在老年人中已经发展 , 服用阿司匹林可能会对其肿瘤的生长产生不利影响 。 ”他补充说 , 研究结果表明 , 阿司匹林可能在细胞或分子水平上对老年人产生不同的作用 , 这需要进一步研究 。 值得注意的是 , 绝大多数研究参与者在70岁之前没有服用过阿司匹林 。
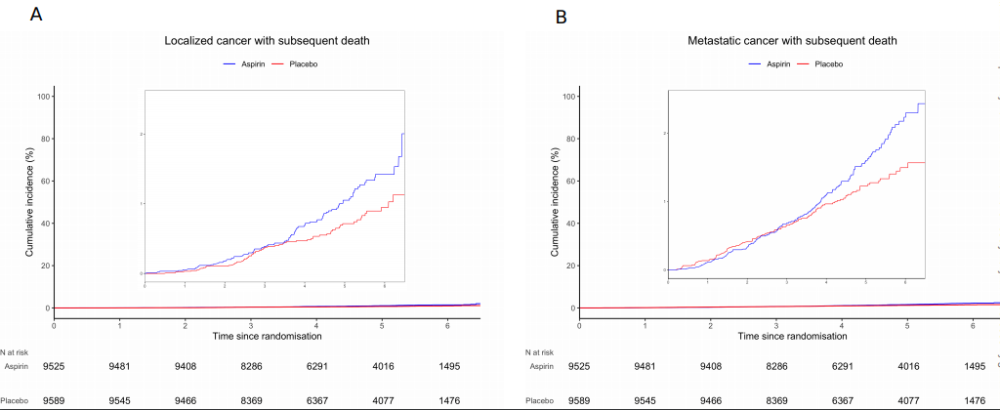
本文图片
首次出现局部或转移性癌症后癌症相关死亡的累积发生率 。 A组显示的是局部癌症;B组显示的是转移性癌症 。 时间是从随机化到癌症事件后死亡的发生 。
Chan博士补充说 , “尽管这些结果表明 , 在健康的老年人开始服用阿司匹林时 , 我们应该谨慎 , 但这并不意味着已经在服用阿司匹林的人 , 尤其是在较年轻时开始服用阿司匹林的人应该停止服用阿司匹林 。 ”
论文链接:
https://academic.oup.com/jnci/advance-article/doi/10.1093/jnci/djaa114/5889955?searchresult=1
推荐阅读
- 甲状腺癌|夜间灯光会使甲状腺癌风险增加55%?
- 祖传腌黄瓜做法,一次腌20斤不够吃,脆嫩爽口,放一年不会坏
- 粒子|人体本身是由一堆粒子组成,怎么会产生思想?
- 肺部|长期抽烟的人,点烟前牢记几点,或许不用戒烟,肺部也会舒服点!
- 睡眠|新研究:除了熬夜,睡得太早也会影响寿命,50岁以上更应多注意
- 葱油饼好吃有诀窍,层层酥脆,做法简单,学会可以摆摊了
- 三星堆遗址|直击三星堆发布会|雷雨:四号坑灰烬中发现纺织品痕迹
- 乙肝|和乙肝患者一起吃饭到底会不会被传染?
- 糖尿病|肥胖的人才会出现糖尿病?血糖高就是糖尿病了?别被误导了
- 肺部|肺不好,会出现“1粗、2痛、3多”,占一个,也最好去查肺CT
