石墨烯|石墨烯又又又又诞生一新研究领域?碳基磁性材料时代来临!
你能想象 , 当你在做实验的时候 , 你制备的纯碳材料突然就被磁铁给吸起来了吗?在2020年之前 , 这一场景貌似是天方夜谭 , 因为纯碳材料怎么有磁性或者被磁铁磁化呢?但是 , 未来的物理学家、化学家和材料学家回想起2020年 , 也许想到的第一件事不是肆虐全球的新冠肺炎 , 而是科学家在2020年首次实验制备和表征到了具有磁性的碳基纳米石墨烯分子材料 。
自从2004年英国曼彻斯特大学物理学家Andre Geim和Konstantin Novoselov用微机械剥离法成功从石墨中分离出石墨烯后 , 研究者普遍认为石墨烯是一种抗磁材料 , 即石墨烯没有磁性以及不能被磁化 。 之前有大量的文献预测特殊结构的石墨烯具有磁性——控制石墨烯的原子结构 , 进而来控制其电子旋转状态 。 但是直到今年 , 有机合成学家才首次通过表面合成技术得到了这些特殊结构的纳米石墨烯分子 , 并且表征结构显示这些石墨烯分子具有非常独特的磁性性能 。 这无疑颠覆了人们的固有认知 , 甚至可以带动一个改写教科书的新研究领域的兴起——碳基磁性材料时代来临 。
本文图片
【磁性三角烯】
近日 , 《德国应化》刊登了一篇题为“Collective All-Carbon Magnetism in Triangulene Dimers”的研究论文 , 这项研究由德累斯顿工业大学冯新亮教授团队联合瑞士联邦材料科学与技术实验室Pascal Ruffieux教授团队共同完成 。 在这项研究中 , 研究者在金衬底上合成得到了两种不同结构的三角烯二聚体 , 并且通过扫描隧道光谱和非弹性电子隧道光谱法表征了这两种三角烯二聚体中的磁耦合现象 。
本文图片
本文图片
图1.两种磁性三角烯二聚体STM图像、结构式
本文图片
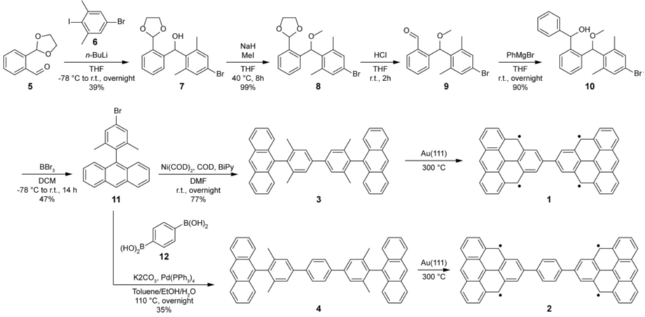
三角烯二聚体合成路线
【石墨烯如何产生磁性?】
为什么普通的石墨烯不会表现出磁性 , 而这种三角烯会表现出明显的磁耦合呢?这还要从13年前的一篇文章说起 。 在2007年 , 西班牙阿利坎特大学两位物理学家J. Ferna ndez-Rossier和J. J. Palacios在《Physical Review Letters》上发表了一篇题为“Magnetismin Graphene Nanoislands”的研究论文 。 在这篇论文中 , 这两位物理学家通过理论计算 , 预测具有三角形状的纳米石墨烯具有磁性 。 石墨烯是由六边形的苯环构成的 , 我们熟知的苯环结构是经典的凯库勒结构式——单键双键交替 。 但是在纳米石墨烯中 , 有时候会出现一些碳原子无法与周边碳原子形成这种单键双键交替结构 , 因此一个或多个电子被迫保持不配对 , 不能形成键 。 电子绕轴旋转会产生一个微小的磁场(即磁矩) , 但在成键电子对中 , 这两个自旋相反的电子会使这些磁场相互抵消 。 然而 , 如果一个电子单独在它的轨道上 , 磁矩仍然存在 , 结果是一个可测量的磁场 。 而三角烯就满足这个结构特点 , 使其表现出宏观可测量的磁矩存在 。
本文图片
本文图片
苯环结构式以及轨道单电子形成可测量磁矩的结构式
J. Ferna ndez-Rossier和J. J. Palacios不仅在这篇《Physical Review Letters》中对三角烯的磁性能进行了预测 , 他们还讨论了纳米石墨烯的形状、属于两个石墨烯亚晶格的原子数量的不平衡、零能态的存在以及总磁矩和局部磁矩之间的密切关系 。 但是可能受限于实验及制备技术 , 这些结论只能算做理论预测 , 并没有得到实际实验的验证 。
本文图片
J. Ferna ndez-Rossier和J. J. Palacios对三角烯与六边烯磁性能的理论预测
【三角烯二聚体的磁现象】
在2020年的这篇德国应化中 , 冯新亮教授和Pascal Ruffieux教授的研究团队通过表面合成制备了两种不同结构的三角烯二聚体 。 光谱分析结果验证了J. Ferna ndez-Rossier和J.J. Palacios对三角烯具有磁性的预测 , 同时 , 实验结果表明:如果两个三角烯直接连接在一起 , 不仅它们的磁性得以保留 , 它们的磁矩还形成了“量子纠缠”状态 。 这意味着这些自旋的未配对电子的微小磁矩应该指向相反的方向 , 这种状态称为反铁磁(或自旋0)状态 , 表现出反铁磁性 。 随后 , 根据理论 , 这种三角烯在注入外部能量之后 , 其未配对孤电子的旋转状态会改变(自旋0态变为自旋1态) , 而研究人员发现 , 通过注入能量为14meV的电子 , 三角烯二聚体可以被激发到自旋1的状态 。
研究者还合成了第二种三角烯二聚体 , 其中三角烯之间不是通过碳-碳单键直接连接 , 而是通过一个苯环连接(如图1所示) 。 研究者希望三角烯之间更大的连接元件能显著降低交换能量 。 而实验结果显示:与直接连接的三角形相比 , 中间含有苯环得到三角烯二聚体的交换能减少至2meV , 比原来14meV降低了85% 。
本文图片
两种三角烯二聚体磁性能表征和分析
【其它磁性石墨烯研究】
磁性的三角烯二聚体并不是最早发现具有磁性的碳基材料 , 其实在今年年初 , 德累斯顿工业大学冯新亮教授、瑞士联邦材料科学与技术实验室Roman Fasel和Pascal Ruffieux教授、芬兰阿尔托大学Peter Liljeroth教授研究团队就联合制备和报道了一种结构式为C38H18的“高脚杯”状联三角烯 。 通过STM和自旋激发光谱分析 , 这种纳米石墨烯显示出了一个强大的反铁磁序 , 其交换耦合强度为23meV , 超过了室温下最小能量耗散的朗道尔极限 , 同时 , 通过原子操纵 , 研究者还实现了自旋猝灭分子磁基态的切换 。 虽然这一结构式在上世纪70年代就被科学家预测出来 , 但是由于合成的中间体十分不稳定 , 因此一直没能成功被合成制备出来 。 直到近几年纳米技术和有机合成技术的飞速发展、进步 , 研究人员才在金表面成功合成并使其稳定 , 用于后续的结构和性能表征 。 这项研究以题为“Topological frustration induces unconventional magnetism in ananographene”的研究论文发表在《Nature Nanotechnology》期刊上 。
本文图片
高脚杯”状联三角烯结构、制备和表征
以上的研究是基于三角烯这种具有磁性的石墨烯而开展的 , 在今年4月份 , 来自西班牙CIC纳米GUNE研究所的Jose Ignacio Pascual教授和多诺斯蒂亚国际物理中心(DIPC)Thomas Frederiksen教授研究团队合作制备了一种新结构磁性纳米石墨烯分子 , 扫描隧道光谱结果显示这种类三角烯石墨烯分子具有铁磁性 。 这项研究以题为“Uncoveringthe triplet ground state of triangular graphene nanoflakes engineered withatomic precision on a metal surface”的论文发表在上《PhysicalReview Letters》上 。
本文图片
类三角烯磁性纳米石墨烯
【总结】
通过调节石墨烯的边缘结构 , 可以使纳米石墨烯显示出磁性 , 这是一个新兴的研究领域 。 在未来 , 这种新的(纯有机的)磁性材料不仅可以用于诸如基于自旋信息处理的技术和量子技术(自旋信息处理有望使计算机运行速度更快 , 功耗更低) , 同时它们也可以为研究奇异的物理现象提供肥沃的土壤 。 根据以上的这些研究我们发现 , 具有自旋孤电子是碳(石墨烯分子)材料具有磁性的根本原因 , 如果在高分子链中也创造性地引入和形成这些孤电子 , 那么是否也可以得到具有磁性的本征聚合物材料呢?
(1)https://onlinelibrary.wiley.com/doi/10.1002/anie.202002687
(2)https://journals.aps.org/prl/abstract/10.1103/PhysRevLett.99.177204
(4)https://journals.aps.org/prl/abstract/10.1103/PhysRevLett.124.177201
来源:高分子科学前沿
【石墨烯|石墨烯又又又又诞生一新研究领域?碳基磁性材料时代来临!】声明:仅代表作者个人观点 , 作者水平有限 , 如有不科学之处 , 请在下方留言指正!
推荐阅读
- 高碳烯烃-高碳正构醇-异构醇产业链:正进入产业化阶段
- 石墨烯|神奇的超轻超弹多孔气凝胶材料——三维石墨烯
- 杀虫剂|杀虫剂中的“搅局者”~烯啶虫胺之优缺点
- 小米透明电视引爆全网,但是为什么说石墨烯电池才是真黑科技?
- 恒力石化上半年盈利55.17亿元创历史新高 全球最大乙烯项目全面投产
- 奔驰 GT63S AMG 先行版 哑光石墨灰黑灰
- |为什么说石墨烯芯片是未来芯片的主导!
- 石墨|宁夏成立首个新材料产业研究院 探索石墨烯发展“新蓝海”
- 选择性|科研人员实现炔烃高选择性一步法制备双锡取代烯烃
- 华力鸿|华力鸿生物医药科技有限公司 诚招代理共掘石墨烯健康产业千亿
