逾期|【最新】澄华街道这些面包车逾期未报废、未检验,有你家车吗?
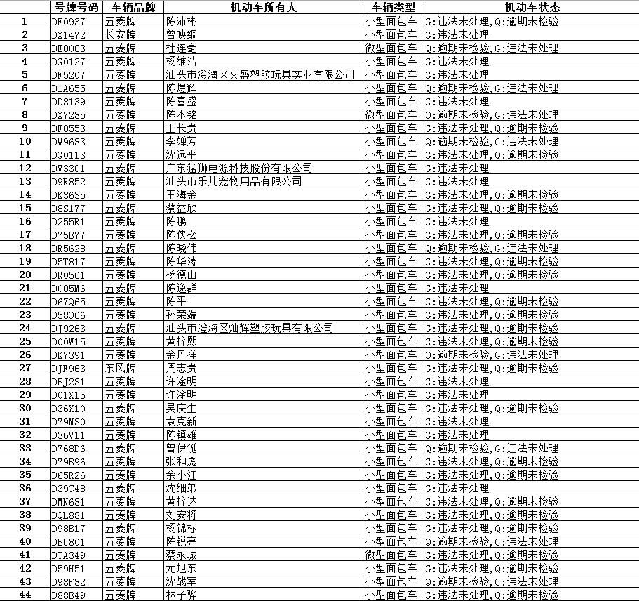
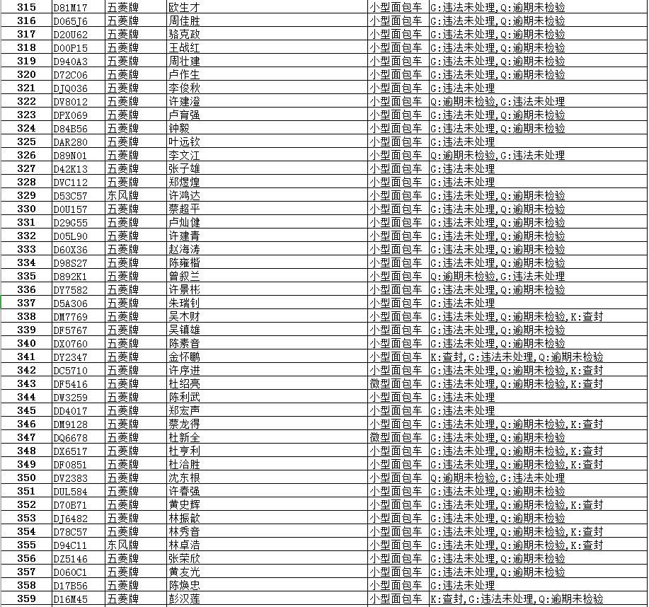
为及时消除道路交通安全隐患,全力预防和减少道路交通事故的发生,经交警部门排查,现将澄海区澄华街道下列506辆违法未处理、1201辆逾期未报废、180辆逾期未检验的面包车公告如下,请下列车主见到公告后尽快处理:
违法未处理车辆名单
【 逾期|【最新】澄华街道这些面包车逾期未报废、未检验,有你家车吗?】
文章图片

文章图片

文章图片

文章图片

文章图片

文章图片

文章图片

文章图片

文章图片

文章图片

文章图片
逾期未报废车辆名单

文章图片

文章图片

文章图片

文章图片

文章图片

文章图片

文章图片

文章图片

文章图片

文章图片

文章图片

文章图片

文章图片

文章图片

文章图片

文章图片

文章图片

文章图片

文章图片

文章图片

文章图片

文章图片

文章图片

文章图片

文章图片

文章图片

文章图片
逾期未检验车辆名单

文章图片

文章图片

文章图片

文章图片
来源:澄海公安
推荐阅读
- 王者荣耀:耀神单排王者低星局,天秀公孙离距离失败仅差一毫米!
- 健康广东|8月18日广东疫情最新通报:广州深圳新增多少病例
- 数字人民币试点地区展开测试 集中在餐饮、零售、充值等小范围场景
- 陕西卫健委|8月18日陕西疫情最新通报:新增2例境外输入确诊病例
- the|新冠肺炎成美国第三大致死原因 仅次于心脏病和癌症
- IG能否站稳脚跟?LPL的5局4胜制,让人怀疑世界赛是否还有机会
- 梦幻西游:炼妖达人的真实力,合宠连出极品,血赚美滋滋!
- 提供“让兴趣成为职业”的可能 “微经济”有大宝藏
- 再忆两岸战疫共情故事 台湾青年:相信自己是那打败黑暗的一道光
- 北京发布“26条措施”实施指南 优化台胞台企发展环境
